Đề thi thử THPT Quốc gia môn Toán năm 2016 trường THPT Đông Sơn 1, Thanh Hóa (Lần 3)
Đề thi thử THPT Quốc gia môn Toán năm 2016
Đề thi thử THPT Quốc gia môn Toán năm 2016 trường THPT Đông Sơn 1, Thanh Hóa (Lần 3) có đáp án đi kèm, là tài liệu ôn tập môn Toán hữu ích dành cho các bạn thí sinh chuẩn bị bước vào kì thi THPT Quốc gia, luyện thi Đại học, Cao đẳng 2016, giúp các bạn củng cố và ôn tập kiến thức hiệu quả.
Đề thi thử THPT Quốc gia môn Toán năm 2016 trường THPT Yên Lạc 2, Vĩnh Phúc (Lần 4)
Đề thi thử THPT Quốc gia môn Toán năm 2016 trường Đại học Hồng Đức, Thanh Hóa
Đề thi thử THPT Quốc gia môn Toán năm 2016 trường THPT Thuận Thành 1, Bắc Ninh (Lần 1)
| TRƯỜNG THPT ĐÔNG SƠN 1 |
KÌ THI KSCL TRƯỚC TUYỂN SINH NĂM 2016 (LẦN 3) Môn Thi: TOÁN Thời gian: 180 phút (không kể thời gian giao đề) |
Câu 1 (1,5 điểm). Cho hàm số y = x4 - 2mx2 - 3.
a) Khảo sát sự biến thiên và vẽ đồ thị (C) của hàm số khi m = 1.
b) Tìm m để hàm số có 3 điểm cực trị.
Câu 2 (0,5 điểm). Tìm giá trị lớn nhất và giá trị nhỏ nhất của hàm số f(x) = x - 3ln(x + 2) trên đoạn [0; 4].
Câu 3 (1,0 điểm).
a) Tìm tập hợp các điểm biểu diễn của số phức z thỏa mãn |z - 2 + i| = 3.
b) Giải phương trình 2x + 3x = 5x.
Câu 4 (1,0 điểm). Cho hình phẳng H giới hạn bởi các đường: y = 0,
, x = 0, x = 1. Tính thể tích khối tròn xoay được tạo thành khi quay H quanh trục hoành.
Câu 5 (1,0 điểm). Trong không gian với hệ tọa độ Oxyz, mặt phẳng (P) có phương trình x - y + z - 1 = 0 và hai điểm A(1; 2; 3), B(3; 4; 1). Viết phương trình mặt phẳng (Q) đi qua A, B đồng thời vuông góc với (P) và tìm điểm C thuộc (P) sao cho tam giác ABC là tam giác đều.
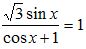
Câu 6 (1,0 điểm).
a) Giải phương trình
.
b) Một đề thi trắc nghiệm có 20 câu, mỗi câu gồm có 4 phương án trả lời trong đó có duy nhất một phương án đúng. Mỗi câu nếu chọn đúng đáp án thì được 0,5 điểm. Giả sử thí sinh A chọn ngẫu nhiên các phương án. Tính xác suất để A được 4 điểm (lấy gần đúng đến 5 chữ số sau dấu phẩy).
Câu 7 (1,0 điểm). Cho hình chóp S.ABCD có đáy ABCD là chữ nhật có tâm O, AB = a, tam giác OAB là tam giác đều. Tam giác SAB là tam giác đều, tam giác SCD là tam giác cân tại S. Hình chiếu vuông góc của S lên mặt phẳng (ABCD) là điểm H thuộc miền trong của hình chữ nhật ABCD và SH = 3a/4. Tính theo a thể tích khối chóp S.ABCD và khoảng cách giữa hai đường thẳng SC và AB.
Câu 8 (1,0 điểm). Trong mặt phẳng với hệ tọa độ Oxy, cho tam giác ABC có E(-1; -2), F(2; 2), Q(-1; 2) lần lượt là chân ba đường cao hạ từ các đỉnh A, B, C của tam giác. Tìm tọa độ các điểm A, B, C.
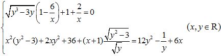
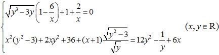
Câu 9 (1,0 điểm). Giải hệ phương trình

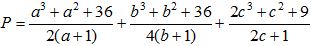
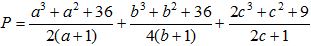
Câu 10 (1,0 điểm). Cho a, b, c là 3 số thực dương thỏa mãn 4(a - 1)2 + (2b - 3)2 + 4c2 ≤ 9. Tìm giá trị nhỏ nhất của biểu thức
.
Đáp án đề thi thử THPT Quốc gia môn Toán năm 2016



