Ôn thi Đại học môn Toán - Chuyên đề: Lượng giác
Ôn thi Đại học môn Toán - Chuyên đề: Lượng giác
Trong chương trình Toán THPT, chuyên đề lượng giác là một trong những phần kiến thức nền tảng và có vai trò quan trọng trong quá trình ôn thi tốt nghiệp THPT. Các bài toán liên quan đến phương trình lượng giác, biến đổi lượng giác, công thức lượng giác và ứng dụng lượng giác trong giải toán thường xuất hiện trong đề thi với nhiều mức độ khác nhau, từ nhận biết đến vận dụng cao.
Bài viết “Ôn thi Đại học môn Toán – Chuyên đề: Lượng giác” được biên soạn nhằm hệ thống hóa các kiến thức trọng tâm cùng những dạng bài thường gặp trong quá trình luyện thi THPT Quốc gia môn Toán. Nội dung không chỉ giúp học sinh ôn tập lại các công thức quan trọng mà còn cung cấp nhiều bài tập tiêu biểu để rèn luyện kỹ năng phân tích và giải quyết bài toán lượng giác.
Tài liệu được xây dựng bám sát định hướng ra đề của Bộ Giáo dục và Đào tạo Việt Nam , giúp học sinh nắm vững phương pháp giải từng dạng bài và nâng cao khả năng vận dụng kiến thức vào các câu hỏi trắc nghiệm. Đây là nguồn tài liệu hữu ích hỗ trợ quá trình luyện đề, củng cố kiến thức và chuẩn bị hiệu quả cho kỳ thi THPT Quốc gia môn Toán.
VẤN ĐỀ 1: PHƯƠNG TRÌNH LƯỢNG GIÁC
A. PHƯƠNG PHÁP GIẢI
I. Phương trình lượng giác cơ bản
* cosx = cosα ↔ x = ± α + k2π
* 
* tanx = tanα ↔ x = α + kπ
* cotx = cotα ↔ x = α + kπ
Với k thuộc Z
II. Phương trình bậc hai đối với một hàm số lượng giác
* asin2x + bsinx + c = 0. Đặt t = sinx, |t| ≤ 1
* acos2x + bcosx + c = 0. Đặt t = cosx, |t| ≤ 1
* atan2x + btanx + c = 0. Đặt t = tanx
* acot2x + bcotx + c = 0. Đặt t = cotx
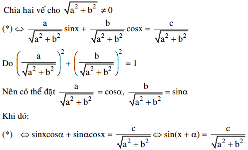
III. Phương trình bậc nhất đối với sinx, cosx
asinx + bcosx = c (*)
Điều kiện có nghiệm: a2 + b2 ≥ c2
Cách 1:

Cách 2:

Cách 3:

IV. Phương trình đối xứng: a(sinx + cosx) + bsinxcosx + c = 0

V. Phương trình đẳng cấp bậc 2 đối với sinx, cosx
asin2x + bsinxcosx + ccos2x = 0
- Xét cosx = 0 ↔ x = π/2 + kπ (k thuộc Z) có là nghiệm không?
- Xét cosx ≠ 0. Chia 2 vế cho cos2x ta thu được phương trình bậc 2 theo tanx.
Chú ý: Nếu là phương trình đẳng cấp bậc k đối với sinx, cosx thì ta xét cosx = 0 và xét cosx ≠ 0 chia 2 vế của phương trình cho coskx và ta thu được một phương trình bậc k theo tanx
B. ĐỀ THI
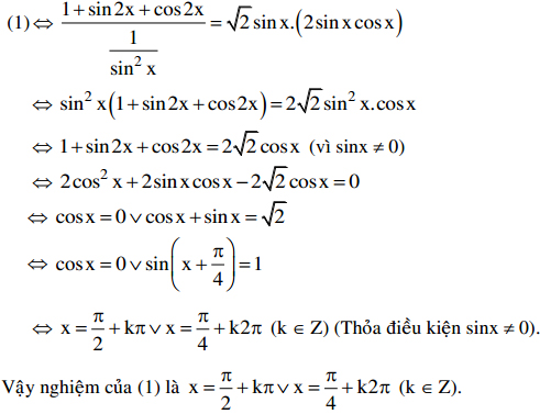
Bài 1: Đại học khối A năm 2011
Giải phương trình:c![]()
Giải:
Điều kiện: sinx # 0. Khi đó:

Bài 2: Đại học khối B năm 2011
Giải phương trình: sin2x.cosx + sinx.cosx = cos2x + sinx + cosx
Giải:

Bài 3: Đại học khối D năm 2011
Giải phương trình: 

(Còn tiếp)
--------------------------------------------------------
Chuyên đề lượng giác đóng vai trò quan trọng trong việc củng cố nền tảng kiến thức toán học và hỗ trợ giải quyết nhiều dạng bài trong chương trình THPT. Khi nắm vững các công thức lượng giác và luyện tập thường xuyên với nhiều dạng bài khác nhau, học sinh sẽ nâng cao khả năng phân tích và xử lý các bài toán một cách linh hoạt.
Tài liệu “Ôn thi Đại học môn Toán – Chuyên đề: Lượng giác” giúp hệ thống lại những kiến thức trọng tâm cùng các dạng bài phổ biến trong đề thi. Nội dung được xây dựng dựa trên định hướng ra đề của Bộ Giáo dục và Đào tạo Việt Nam , giúp học sinh làm quen với cấu trúc đề thi và cải thiện kỹ năng giải toán trắc nghiệm.
Việc kết hợp học lý thuyết với luyện tập có hệ thống sẽ giúp người học hiểu rõ bản chất của các công thức lượng giác và nâng cao hiệu quả ôn tập. Đây là tài liệu hữu ích giúp học sinh luyện đề, củng cố kiến thức và tự tin chinh phục kỳ thi THPT Quốc gia môn Toán.