Tài liệu ôn thi Toán lớp 12
Tài liệu ôn tập môn Toán lớp 12
Tài liệu ôn tập môn Toán lớp 12 tổng hợp, gồm nhiều chuyên đề khác nhau, như: Bất đẳng thức tích phân, Bất phương trình, đề thi tham khảo học kỳ, kiểm tra trắc nghiệm,... Đây là tài liệu tham khảo hay dành cho các bạn muốn củng cố kiến thức, ôn thi môn Toán lớp 12 hiệu quả, sẵn sàng cho kì thi cuối năm và THPT Quốc gia năm 2017.
Ôn thi Đại học môn Toán - Chuyên đề: Tổ hợp và xác suất
Sở GDĐT tỉnh Quảng Ninh
Trường THPT Chuyên Hạ Long
ĐỀ KIỂM TRA MÔN TOÁN LỚP 12
(Học kỳ II năm học 2006 - 2007)
Thời gian làm bài: 90 phút
(Đề chẵn)
A. Phần trắc nghiệm (2 điểm)
1. Từ một danh sách 10 học sinh ưu tú, có bao nhiêu cách chọn ra 5 học sinh để lập ban cán bộ lớp gồm 1 lớp trưởng, 1 lớp phó và 3 cán sự. Hãy xác định công thức tính đúng trong các công thức tính sau:
![]()
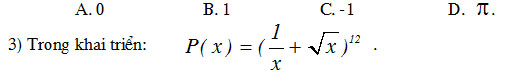
2. Hãy chọn kết quả đúng trong các kết quả sau:

Hãy xác định số hạng không chứa X trong các kết quả sau:
A. 495 B. 490 C.488 D. 480
![]()
Tìm kết quả đúng trong các kết quả sau:
A. 210 B. 24 C. 25 D. 29
B. Phần tự luận (8 điểm)
Câu 1: Tính diện tích miền phẳng kín giới hạn bởi các đường:
![]()
Câu 2: Trong không gian Oxyz cho các điểm A(1,0,0); B(0,2,0); C(0,0,3).
a) Viết phương trình mặt phẳng (ABC), tính thể tích khối tứ diện O.ABC.
b) Viết phương trình mặt cầu ngoại tiếp tứ diện O.ABC, xác định tọa độ tâm và bán kính mặt cầu này.
c) Viết phương trình đường tròn ngoại tiếp tam giác ABC, xác định tọa tâm, bán kính đường tròn này.
Câu 3. Một hộp bi có 7 viên bi xanh, 6 viên bi trắng và 5 viên bi vàng. Biết rằng các viên bi cùng màu giống hệt nhau, hãy xác định số cách chọn ra 6 viên bi từ hộp đó sao cho có đủ ba màu.
(Còn tiếp)