Ôn thi Đại học môn Toán - Chuyên đề: Khảo sát hàm số
ÔN THI ĐẠI HỌC MÔN TOÁN CHUYÊN ĐỀ: KHẢO SÁT HÀM SỐ
Ôn thi Đại học môn Toán - Chuyên đề: Khảo sát hàm số là tài liệu ôn tập môn Toán hữu ích dành cho các bạn học sinh THPT, giúp các bạn luyện tập và củng cố kiến thức, từ đó chuẩn bị tốt nhất cho các bài thi, bài kiểm tra Toán sắp tới, đặc biệt là kì thi THPT Quốc gia, xét tuyển Đại học, Cao đẳng 2021. Mời các bạn tham khảo chi tiết tại đây nhé.
- Bài tập trắc nghiệm khảo sát hàm số (Có đáp án)
- Ôn thi Đại học môn Toán - Chuyên đề: Số phức
- Ôn thi Đại học môn Toán - Chuyên đề: Giải tích tổ hợp
- Ôn thi Đại học môn Toán - Chuyên đề: Phương trình, Bất phương trình Đại số
VnDoc.com xin gửi tới bạn đọc bài viết Ôn thi Đại học môn Toán - Chuyên đề: Khảo sát hàm số để bạn đọc cùng tham khảo. Bài viết được tổng hợp gồm có các chuyên đề ôn thi về khảo sát hàm số trong môn Toán lớp 12. Mỗi chuyên đề đề có đề thi luyện tập đi kèm, đề thi có đáp án và lời giải chi tiết đi kèm theo. Qua bài viết bạn đọc có thể thấy được phương pháp giải của một số dạng vô định thường gặp và khử dạng vô định. Mời các bạn cùng tham khảo chi tiết và tải về tại đây nhé.
VẤN ĐỀ 1: GIỚI HẠN CỦA HÀM SỐ
A. PHƯƠNG PHÁP GIẢI
I. Một số dạng vô định thường gặp![]()
Chú ý: Các trường hợp sau không phải là dạng vô định:

II. Khử dạng vô định
- Hàm số có chứa căn: Nhân và chia với biểu thức liên hợp
- Hàm số có chứa lượng giác: Biến đổi để sử dụng ba giới hạn quen thuộc
![]()
- Dạng vô định
: Phân tích tử số và mẫu số để có (x - a) làm nhân tử chung - Dạng vô định
: Đặt số hạng bậc cao nhất của tử số và mẫu số làm thừa số chung. - Dạng vô định ∞ - ∞, ∞.0: Biến đổi đưa về dạng

B. ĐỀ THI
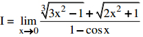
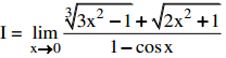
Bài 1:
Tìm giới hạn 
Giải:

Bài 2: Đề dự bị 1
Tìm giới hạn 
Giải:

(Còn tiếp)
Trên đây VnDoc.com vừa giới thiệu tới các bạn Ôn thi Đại học môn Toán - Chuyên đề: Khảo sát hàm số, mong rằng qua bài viết này các bạn có thể học tập tốt hơn môn Toán lớp 12. Mời các bạn cùng tham khảo thêm các môn Ngữ văn 12, tiếng Anh 12, đề thi học kì 1 lớp 12, đề thi học kì 2 lớp 12...
Mời bạn đọc cùng tham gia nhóm Tài liệu học tập lớp 12 của VnDoc.com để có thêm tài liệu học tập nhé