Đề thi thử THPT Quốc gia môn Toán năm 2016 trường THPT Thuận Thành 1, Bắc Ninh (Lần 1)
Đề thi thử THPT Quốc gia môn Toán năm 2016
Đề thi thử THPT Quốc gia môn Toán năm 2016 trường THPT Thuận Thành 1, Bắc Ninh (Lần 1) là đề thi thử Đại học 2016 môn Toán có đáp án. Đây là tài liệu ôn thi môn Toán hữu ích dành cho các bạn học sinh đang chuẩn bị bước vào kỳ thi THPT Quốc gia 2016. Mời các bạn tham khảo.
Đề thi thử THPT Quốc gia môn Toán năm 2016 trường THPT Lý Thái Tổ, Bắc Ninh (Lần 2)
| SỞ GD&ĐT BẮC NINH TRƯỜNG THPT THUẬN THÀNH SỐ 1 |
ĐỀ KHẢO SÁT THPT QUỐC GIA LẦN 1 NĂM HỌC 2015-2016 Môn thi: Toán Thời gian làm bài: 180 phút, không kể thời gian phát đề |
Câu 1.(2,5 điểm).
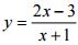
1. Cho hàm số:
(C)
a) Khảo sát sự biến thiên và vẽ đồ thị (C).
b) Viết phương trình tiếp tuyến của đồ thị (C) tại điểm có tung độ bằng 1.
2. Tìm giá trị lớn nhất, giá trị nhỏ nhất của hàm số y = x3 + 3x2 - 9x + 1 trên đoạn [- 2; 2].
Câu 2 (0,5 điểm). Giải phương trình: 4sinx + cosx = 2 + sin2x
Câu 3 (1,5 điểm).
a) Giải phương trình: 52x - 24.5x-1 - 1 = 0
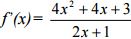
b) Tìm hàm số f(x) biết
và f(0) = 1.
Câu 4 (1,0 điểm). Trong không gian tọa độ Oxyz cho hình lập phương ABCD.A'B'C'D' có đỉnh A trùng với gốc toạ độ O, đỉnh B(1;1;0), D( 1;-1;0). Tìm tọa độ đỉnh A' biết A' có cao độ dương và viết phương trình mặt cầu ngoại tiếp hình lập phương ABCD.A'B'C'D'.
Câu 5 (0,5 điểm). Trường trung học phổ thông Thuận Thành số 1 có tổ Toán gồm 15 giáo viên trong đó có 8 giáo viên nam, 7 giáo viên nữ; Tổ Lý gồm 12 giáo viên trong đó có 5 giáo viên nam, 7 giáo viên nữ. Chọn ngẫu nhiên mỗi tổ 2 giáo viên đi dự tập huấn chuyên đề dạy học tích hợp. Tính xác suất sao cho trong các giáo viên được chọn có 2 nam và 2 nữ.
Câu 6 (1,0 điểm). Cho hình chóp S.ABCD có đáy ABCD là hình chữ nhật với AB = a, AD = 2a, SA ⊥ (ABCD). Tính theo a thể tích của khối chóp S.ABCD và khoảng cách từ D đến mặt phẳng (SBM) với M là trung điểm của CD biết góc giữa SC và mặt phẳng chứa đáy là α với tanα = 1/√5.
Câu 7 (1,0 điểm). Trong mặt phẳng tọa độ Oxy, cho tam giác ABC có chân đường phân giác hạ từ đỉnh A là D(1;-1). Phương trình tiếp tuyến tại A của đường tròn ngoại tiếp tam giác ABC có phương trình x + 2y – 7 =0. Giả sử điểm M(13/5; -1/5) là trung điểm của BD. Tìm tọa độ các điểm A,C biết A có tung độ dương.
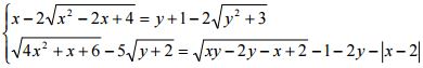
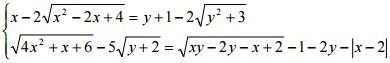
Câu 8 (1,0 điểm). Giải hệ phương trình sau

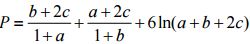
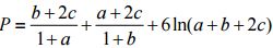
Câu 9 (1,0 điểm) Cho các số thực dương a, b, c thỏa mãn ab ≥ 1; c(a + b + c) ≥ 3. Tìm giá trị nhỏ nhất của biểu thức:
![]()
Đáp án đề thi thử THPT Quốc gia môn Toán năm 2016




