Đề thi thử THPT Quốc Gia môn Toán năm 2020
NÓNG! Ngày 7/5/2020, Bộ GDĐT công bố đề thi tham khảo kỳ thi tốt nghiệp THPT năm 2020. VnDoc đang cập nhật đề và Đáp án đề minh họa 2020 môn Toán, Văn, Anh... lần 2. Mời các bạn F5 bài viết này để nhận link gợi ý đáp án nhé.
Bộ đề minh họa 2020 lần 2 đầy đủ các môn + đáp án
1. Gợi ý đáp án đề minh họa 2020 lần 2 môn Toán
| 1.A | 2.A | 3.A | 4.B | 5.C | 6. C | 7.D | 8.A | 9.C | 10.C |
| 11.D | 12.D | 13.D | 14.A | 15.B | 16.C | 17.D | 18.D | 19.C | 20.B |
| 21.B | 22. | 23.B | 24. | 25. | 26. | 27. | 28. | 29. | 30. |
VnDoc.com xin giới thiệu tới các bạn học sinh Đề thi thử THPT Quốc Gia môn Toán năm 2020. Bộ tài liệu gồm 50 câu hỏi kèm theo lời giải chi tiết, đề có đáp án kèm theo, chắc chắn sẽ giúp các bạn học sinh rèn luyện cách giải nhanh bài tập Toán. Mời các bạn và thầy cô tham khảo.
Đã có đề thi minh học THPT Quốc gia môn Toán mời các bạn tham khảo: ĐỀ MINH HỌA MÔN TOÁN NĂM 2020.
CẬP NHẬT: Bộ đề minh họa thi THPT Quốc gia 2020 ĐẦY ĐỦ 13 MÔN
Nội dung Đề thi thử THPT Quốc Gia môn Toán năm 2020
Mời bạn đọc cùng tham khảo Cấu trúc đề thi THPT Quốc gia 2020 đầy đủ các môn
Ngày 3/4/2019, Bộ Giáo dục và Đào tạo đã công bố bộ Đề thi minh hoạ môn Toán THPT quốc gia năm 2020. Dưới đây VnDoc.com xin gửi tới bạn đọc đề minh họa cùng với gợi ý đáp án đề thi. Đề thi gồm có 50 câu trắc nghiệm, thí sinh làm đề trong thời gian 90 phút. Đề được biên soạn theo chương trình tinh giản kiến thức đã được công bố trước đó. Mời các bạn cùng tham khảo chi tiết và tải về tại đây.
1. Gợi ý đáp án đề minh họa Toán 2020

























2. Đề thi thử THPT Quốc gia năm 2020 môn Toán
Câu 1: Cho hàm số y = f (x) = ax3 + bx2 + cx + d có đạo hàm là hàm số y = f '(x) với đồ thị như hình vẽ bên. Biết rằng đồ thị hàm số y = f (x) tiếp xúc với trục hoành tại điểm có hoành độ dương. Khi đó đồ thị hàm số y = f (x) cắt trục tung tại điểm có tung độ là bao nhiêu?
Câu 2: Đồ thị ở hình vẽ bên là của hàm số nào trong các phương án dưới đây?
A. y = x3 - 3x + 2
B. y = x3 - 3x2 + 2
C. y = x3 - 3x +1
D. y = x3 - 3x2 +1

Câu 3: Đồ thị hàm số y = 2x3 - 3x2 +1y = 2x3 - 3x2 +1 đi qua điểm nào trong số các điểm sau
A. A(0, 0)
B. B(1, 0)
C. C(1,1)
D. D (2,1)
Câu 4: Cho hàm số y = x3 - 3x + 2 có đồ thị như hình vẽ bên. Dựa vào đồ thị hàm số, tìm tất cả các giá trị thực của tham số m để hàm số x3 - 3x + 2 - m = 0 có ba nghiệm phân biệt.
A. m >4
B. m <0
C. 0 ≤m ≤ 4
D. 0 < m < 4

Câu 5: Cho hàm số y = ax3 + bx2 + cx + d có đồ thị như hình vẽ bên. Đồ thị hàm số y = Ιax3 + bx2 + cx + d +1Ι có bao nhiêu điểm cực trị?
A. 2
B. 3
C. 4
D. 5

Câu 6: Biết rằng đồ thị hàm số y = x4 - 2mx2 +1 đi qua điểm M (1, -2). Xác định giá trị của m?
A. m =4
B. m = 2
C. m =1
D. m =0
Câu 7: Trong các đồ thị dưới đây, đồ thị nào là của y = x4 - 3x2 - 4?

Câu 8: Đồ thị hình bên là đồ thị của hàm số nào dưới đây.
A. y =-x4 +1
B. y =-x4 +2x2 +1
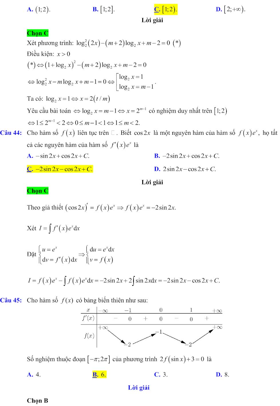
C. =x4 +1
D. y =x4 +2x2 +1

Câu 9: Hàm số y = ax4 + bx2 + c có đồ thị như hình vẽ bên. Hỏi mệnh đề nào sau đây là đúng?
A. a < 0, b > 0, c < 0
B. a < 0, b < 0, c < 0
C. a > 0, b < 0, c < 0

Câu 10: Cho hàm số y = f (x) = ax4 + bx3 + cx2 + dx + e và hàm số y = f ¢(x) có đồ thị như hình vẽ bên. Biết f (b) < 0, hỏi đồ thị hàm số y = f (x) cắt trục hoành tại nhiều nhất bao nhiêu điểm?
A. 1
B. 2
C. 3
D.4

Câu 11: Tìm a, b, c để đồ thị hàm số như hình vẽ bên.


Câu 12: Cho hàm số
có đồ thị như hình bên, mệnh đề nào sau đây đúng?
A. 0 < a < b
B. a < b < 0
C. b < a < 0
D. 0 < b < a

Câu 13: Đồ thị hàm số
có bao nhiêu đường tiệm cận?
A. 1
B. 2
C. 3
D. 4
Câu 14: Biết rằng đồ thị hàm số
có tiệm cận đứng đi qua điểm M (2;3) và tiệm cận ngang đi qua điểm N (4, 5). Tính giá trị của P = a + b?
A. 7
B. 3
C. 6
D. 2
Câu 15:

Câu 16: Tìm giá trị lớn nhất của hàm số y = x3 - 3x trên [0, 3]?
A. 0
B. 18
C -2
D. 2
Câu 17: Tìm tổng của giá trị lớn nhất và nhỏ nhất của hàm số y = sin2 x - sin x + 3 trên tập số thực?
Câu 18: Một chất điểm chuyển động theo phương trình S = -t3 + 9t2 + t +10 trong đó t tính bằng (s) và S tính bằng (m). Thời gian vận tốc của chất điểm đạt giá trị lớn nhất là:
A. t =5s
B. t =6s
C. t =2s
D. t =3s
Câu 19: Một ngọn hải đăng đặt tại vị trí A có khoảng cách đến bờ biển AB = 5km. Trên bờ biển có một cái kho ở vị trí C cách B một khoảng BC = 7km. Người canh hải đăng có thể chèo đò từ A đến M trên bờ biển với vận tốc 4km / h rồi đi bộ đến C với vận tốc 6km / h. Vị trí của điểm M cách B một khoảng bao nhiêu để người đó đi đến kho nhanh nhất?
A. 0km B. 7km
Câu 20: Cho hàm số y = f (x) xác định và liên tục trên [a, e] và có đồ thị hàm số y = f '(x) như hình vẽ bên. Biết rằng
f (a)+ f (c) = f (b)+ f (d). Tìm giá trị lớn nhất và nhỏ nhất của hàm số trên [a, e]?


Câu 21: Hàm số y = x4 - 2x2 đồng biến trên khoảng nào trong các phương án sau?
Câu 22:

Câu 23: Tìm m để hàm số y = x3 - 3x2 + mx - 3m đồng biến trên [0, 5]?
A. m ≤ -4
B. m ≥ -45
C. m ≥ 3
D. m ≤ 3
Câu 24: ![]()
A. m ≤ -1
B. m ≥ -1
C. m ≥ 1
D. m ≤ 1
Câu 25: Cho hàm số y = f (x) xác định và liên tục trên R đồng thời có đồ thị hàm số y = f '(x) như hình vẽ bên. Khẳng định nào sau đây là đúng?


Câu 26:
Câu 27: Đồ thị hàm số y =
\(\frac{X-1}{X+2}\) nhận:
A. Đường thẳng x = 2 là đường tiệm cận đứng, đường thẳng y = 1 là đường tiệm cận ngang
B. Đường thẳng x = -2 là đường tiệm cận đứng, đường thẳng y = 2 là đường tiệm cận ngang
C. Đường thẳng x = 1 là đường tiệm cận đứng, đường thẳng y = -2 là đường tiệm cận ngang
D. Đường thẳng x = -2 là đường tiệm cận đứng, đường thẳng y = 1 là đường tiệm cận ngang
Câu 28: Điểm nào sau đây thuộc đồ thị hàm số y '' = 0? y = x3 + 3x + 5 mà hoành độ là nghiệm của phương trình
A. (0;5)
B. (1;3)
C. (-1;1)
D. (0; 0)
Câu 29: Cho hàm số y = mx4 - (m2 -1)x2 +1. Khẳng định nào sau đây là sai?
A. Với m =0 thì hàm số có một điểm cực trị.
B. Hàm số luôn có 3 điểm cực trị với với mọi m ≤ 0.
C. Với m∈ (-1;0)∪(1;
) hàm số có 3 điểm cực trị.
D. Đồ thị hàm số luôn có một điểm cực trị là (0,1).
Câu 30: Cho hàm số y = f (x) liên tục trên R đồng thời có bảng biến thiên như hình vẽ dưới đây. Phát biểu nào sau đây là đúng?

A. Hàm số đạt cực tiểu tại x = -2 và đạt cực đại tại x = 5
B. Giá trị cực đại của hàm số là-3
C. Giá trị cực đại của hàm số là5
D. Hàm số đạt cực đại tại x = -3 và đạt cực tiểu tại x = 0
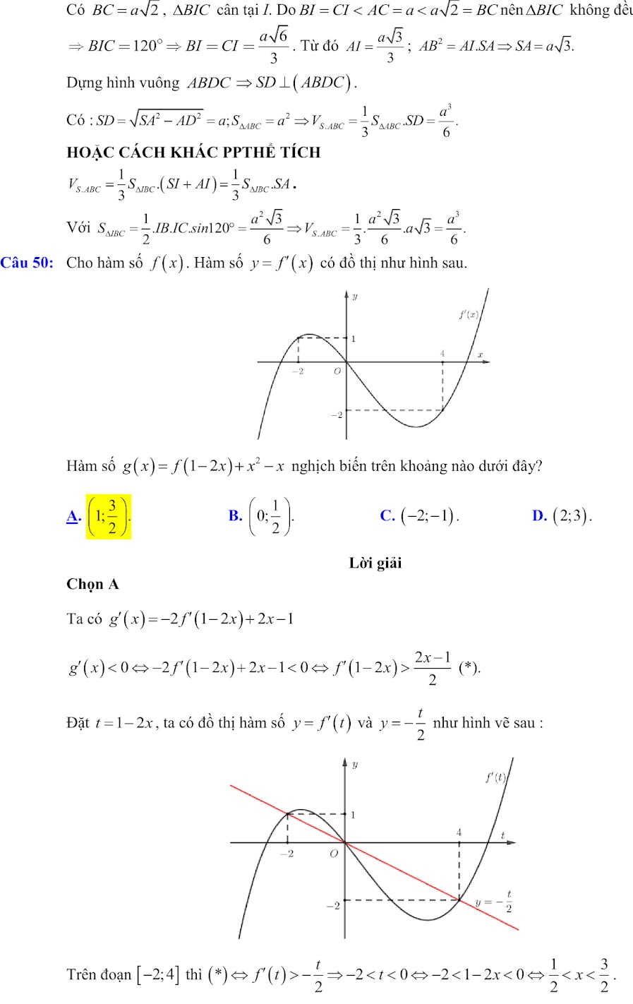
Câu 31:
Câu 32: Các hàm số f (x), g (x) và h (x) xác định và có đạo hàm trên R. Các hàm số đó có đồ thị tương ứng trong các hình (1), (2), (3) đồng thời các hàm số f '(x), g '(x), h '(x) có đồ thị làmột trong số các hình (a), (b), (c) dưới đây. Hãy chỉ ra sự tương ứng của đồ thị hàm số và đạo hàm của nó.

Câu 33: Tìm m để đồ thị hàm số y = x4 - (m -1) x2 +1 có ba cực trị tạo thành tam giác vuông cân?
A. m =2
B. m =3
C. m =0
D. m =4
Câu 34: Tìm m để hàm số y = x3 - (m -1) x2 - (m + 2) x + 2 có điểm cực tiểu là x = 1.
A. m =-1
B. m =0
C. m =1
D. m =2
Câu 35: Tìm m để đồ thị hàm số y = x3 - (m +1) x2 + mx +1 có các điểm cực đại và cực tiểu và hoành độ các cực trị đó là các số dương?
A. m >0
B. m ≥ 0
C. m ≤ 0
D. m < 0
Câu 36: Cho hàm số y = x4 - 2x2 +1 có đồ thị (C ). Gọi (d ) là một đường thẳng thay đổi nhưng luôn đi qua điểm cực đại của đồ thị (C). Tìm giá trị nhỏ nhất tổng khoảng cách của hai điểm cực tiểu đồ thị (C ) tới đường thẳng (d)?
A. 1
B. 2
C.
\(\sqrt{2}\)
D.
\(\sqrt{3}\)
Câu 37: Một khúc gỗ hình lăng trụ đứng với các kích thước như hình vẽ trên có đơn giá 2 triệu đồng mỗi mét khối gỗ. Hỏi khúc gỗ này có giá trị bằng bao nhiêu?
A. 144 triệu đồng
B. 120 triệu đồng
C. 160 triệu đồng
D. 240 triệu đồng

Câu 38: Khi tăng độ dài các cạnh của hình lập phương gấp 2 lần thì thể tích của hình lập phương sẽ tăng lên như thế nào?
A. Tăng gấp 2 lần
B. Tăng gấp 4 lần
C. Tăng gấp 6 lần
D. Tăng gấp 8 lần
Câu 39: Người ta múc nước từ bể nước bằng một chiếc cốc có hình lập phương không có nắp vào một bình nước có hình lăng trụ tam giác đều. Biết rằng chiếc cốc có chiều dài mỗi cạnh bằng 4cm và chiếc bình có cạnh đáy bằng 10cm, chiều cao 30cm. Hỏi cần phải múc tối thiểu bao nhiêu lần để chiếc bình đầy nước?
A. 20 lần
B. 21 lần
C. 22 lần
D. 23 lần
Câu 40: Một khối rubik có hình lập phương (mỗi mặt của rubik có 9 ô vuông) có thể tích bằng 125cm3. Hỏi tổng diện tích các mặt của khối rubik đó bằng bao nhiêu?
A. 150cm2
B. 54cm2
C. 25cm2
D. 108cm2

Câu 42: Cho hình chóp BC có SA = SB = SC = 3, AC = 2. Tam giác ABC vuông cân tại B. Thể tích của khối chóp S.ABC bằng.

Câu 43: Cho hình chóp BCD có đáy là hình vuông cạnh a. SA ⊥ (ABCD) và cạnh bên SC hợp với đáy một góc 45°. Tính thể tích V của hình chóp S.ABCD .
![]()
Câu 44: Cho hình chóp đều S.ABCD có AC = 2a, mặt bên (SBC) tạo vơi đáy góc 45°. Tính thể tích V của hình chóp S.ABCD.
![]()
Câu 45: Hình hộp đứng ABCD.A' B 'C ' D ' có đáy là hình vuông cạnh bên AA' = 3a và đường chéo AC ' = 5a. Thể tích V của hình hộp đứng ABCD.A' B 'C ' D ' bằng bao nhiêu?
A. V =4a3
B. V =24a3
C. V =12a
D. V =8a3
Câu 46: Tính thể tích V của khối chóp SC = AB = 7a. S.ABC có độ dài các cạnh SA = BC = 5a, SB = AC = 6a và
![]()
Câu 47: Cho hình chóp BCD có đáy là hình vuông cạnh a, SA vuông góc với mặt đáy, SD tạo với mặt phẳng (SAB) một góc bằng 30o . Tính thể tích V của khối chóp.

Câu 48: Một bể nước không có nắp có hình hộp chữ nhật có thể tích bằng 1m3 với đáy là một hình vuông. Biết rằng nguyên vật liệu dùng để làm thành bể có đơn giá là 2 triệu đồng cho mỗi mét vuông. Hỏi giá thành nhỏ nhất cần có để làm bể gần với số nào nhất sau đây?
A. 9.500.000 đồng
B. 10.800.000 đồng
C. 8.600.000 đồng
D. 7.900.000 đồng
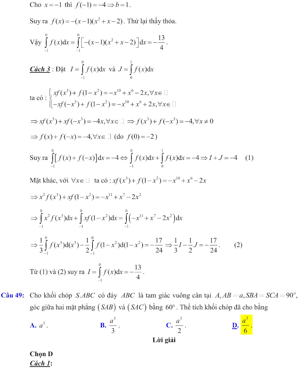
Câu 49: Cho hình chóp S.ABC có đáy là tam giác vuông tại A, các cạnh AB = 1, AC = 2. Các tam giác SAB và SAC lần lượt vuông tại B và C. Góc giữa (SBC) và mặt phẳng đáy bằng 600. Tính thể tích của khối chóp đã cho.

Câu 50: Cho đoạn thẳng AB cố định trong không gian và có độ dài AB = 2. Qua các điểm A và B lần lượt kẻ các đường thẳng Ax và By chéo nhau thay đổi nhưng luôn vuông góc với đoạn thẳng AB. Trên các đường thẳng đó lần lượt lấy các điểm M, N sao cho AM + 2BN = 3. Tìm giá trị lớn nhất của thể tích khối tứ diện ABMN?

3. Đáp án trắc nghiệm đề thi thử THPT Quốc gia 2020
1 |
2 |
3 |
4 |
5 |
6 |
7 |
8 |
9 |
10 |
|
D |
D |
B |
D |
D |
B |
C |
B |
D |
B |
|
11 |
12 |
13 |
14 |
15 |
16 |
17 |
18 |
19 |
20 |
|
D |
A |
B |
A |
C |
B |
D |
D |
C |
C |
|
21 |
22 |
23 |
24 |
25 |
26 |
27 |
28 |
29 |
30 |
|
D |
D |
C |
A |
D |
A |
D |
A |
B |
C |
|
31 |
32 |
33 |
34 |
35 |
36 |
37 |
38 |
39 |
40 |
|
B |
D |
B |
C |
A |
C |
A |
D |
B |
A |
|
41 |
42 |
43 |
44 |
45 |
46 |
47 |
48 |
49 |
50 |
|
A |
C |
C |
D |
B |
C |
D |
A |
B |
B |
4. Đáp án giải chi tiết đề thi thử THPT Quốc gia 2020
Câu 1: Ta có f '(x) = 3ax2 + 2bx + c đi qua các điểm (0, 0),(1, -1),(2, 0) nên a =
\(\frac{1}{3}\) , b = -1, c = 0.
Do vậy: y = f (x) =
\(\frac{1}{3}\) x3 - x2 + d . Điểm tiếp xúc với trục hoành là cực trị của đồ thị hàm số và tại đó ta 3 có x = 0 hoặc
x = 2. Vì đồ thị hàm số y = f (x) tiếp xúc với trục hoành tại điểm có hoành độ dương nên đồ thị hàm số tiếp xúc trục hoành tại điểm x = 2 nghĩa là: f (2) = 0⇔ d =
\(\frac{4}{3}\) . Chọn D.
|
Câu 2: Chọn D. |
Câu 3: Chọn B. |
Câu 4: Chọn D. |
Câu 5: Ta có thể vẽ đồ thị hàm số y = Ιax3 + bx2 + cx + d +1Ι theo ba bước như sau và Chọn D.
Câu 6: Chọn B. Câu 7: Chọn c Câu 8: Chọn B
Câu 9: Trường hợp này rõ ràng là có 3 cực trị với a < 0, b > 0, tuy nhiên điểm cắt trục tung (0, c) có tung độ dương nên ta có c > 0.
Chọn D.
Câu 10: Ta có bảng biến thiên như hình vẽ bên. Vì f (b) < 0 nên rõ ràng có nhiều nhất 2 giao điểm. Chọn B.
Câu 11: Cắt trục hoành tại điểm (-2, 0) nên a = 1. Tiệm cận ngang y = 1 nên có c= 1
Tiệm cận đứng x = 2 nên có b = -2
Chọn D.
Câu 12: Tiệm cận ngang nằm trên trục hoành nên a > 0, hàm số đồng biến nên 0 < a < b. Chọn A.
Câu 13:
Chọn B
Câu 14: Tiệm cận đứng đi qua điểm M (2;3) nên b = 2. Tiệm cận ngang đi qua điểm N (4, 5) nên a = 5. Do vậy P = a+b = 7
Chọn A.
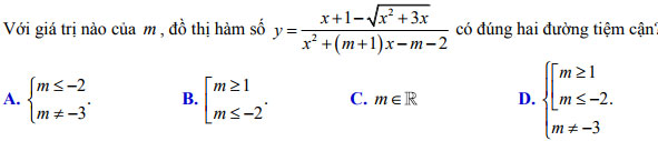
Vì phương trình x +1+ =
\(\sqrt{x^{^{2^{ }}}+}3x\ =\ 0\) vô nghiệm nên chỉ có duy nhất một tiệm cận đứng nữa đó là đường thẳng x = -m - 2. Vậy "m € R ta luôn có hai tiệm cận. Chọn C.
|
Câu 16: Chọn B. |
Câu 17: Chọn D. |
Câu 18: Chọn D. |
Chọn C
Câu 20: Ta có bảng biến thiên như hình vẽ
|
Câu 21: Chọn D. |
Câu 22: Chọn D. |
Câu 23: Chọn C. |
|
Câu 24: Chọn A. |
Câu 25: Chọn D. |
Câu 26: Chọn A. |
|
Câu 27: Chọn D. |
Câu 28: Chọn A. |
Câu 29: Chọn B. |
|
Câu 30: Chọn C. |
Câu 31: Chọn B. |
Câu 32: Chọn D. |
Câu 33: Sử dụng công thức tính nhanh ta có:
\(\frac{m-1}{2}=1\) ⇒ m = 3
Chọn B
Câu 34: Ta có: y ' = 3x2 - 2(m -1) x - (m + 2) và y" = 6x - 2(m -1).
Vì y '(1) = 0⇒ m = 1. Thay vào ta được y "(1) > 0 thỏa mãn.
Vậy Chọn C.
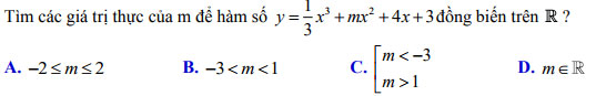
Câu 35: y ' = 3x2 - 2(m +1) x + m và giải Δ ' > 0, S > 0, P > 0 ⇒ m > 0
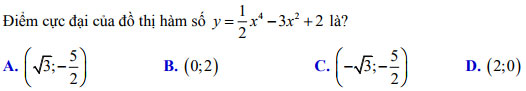
Chọn A.
Câu 36: Cách 1: Hình học: Ta có ba cực trị lần lượt là A(0,1), B (-1, 0), C (1, 0). Do vậy Ta xét các hình chiếu vuông góc E và F của B và C xuống đường thẳng (d ). Ta tìm min của BE + CF.
Ta nhận thấy tam giác ABC vuông cân tại A do đó: ΔABE =ΔAFC cho nên AE = CF.
Vậy: BE + CF = AE + BE ≥AB =
\(\sqrt{2}\) theo bất đẳng thức tam giác. Đẳng thức xảy ra khi và chỉkhi đường thẳng (d ) trùng với một trong hai đường thẳng AB hoặc AC.
Cách 2: Sử dụng TABLE: Ta có phương trình đường thẳng đi qua cực đại là m +1 + m -1
|
Câu 37: Chọn A. |
Câu 38: Chọn D. |
Câu 39: Chọn B. |
|
Câu 40: Chọn A. |
Câu 41: Chọn A. |
Câu 42: Chọn C. |
|
Câu 43: Chọn C. |
Câu 44: Chọn D. |
Câu 45: Chọn B. |
Câu 46: Sử dụng công thức tính nhanh
đối với tứ diện gần đều và dùng lệnh CALC để tính. Chọn C.
Câu 47: Chú ý rằng ∠DSA = 300 do đó Chọn D.
Câu 48: Gọi cạnh đáy của bể là x, khi đó chiều cao của bể là
\(h\ =\frac{1}{x2^{^{ }}}\ \). Diện tích toàn phần của chiếc bể là Stp = x2 +
\(\frac{4}{x}\) do đó chi phí cần là: f (x) = 2000000
\(\left(x^2+\frac{4}{x}^{ }\right)\) . Để tìm min ta có 2 cách chính:
Vậy ta chọn đáp án A.
Mời các bạn tham khảo thêm các bài viết dưới đây của chúng tôi:
- Đáp án đề thi THPT Quốc gia môn Ngữ Văn năm 2019
- Đáp án Đề thi môn Tiếng Anh THPT Quốc gia năm 2019
- Đáp án đề thi THPT Quốc gia môn Hóa học năm 2019
- Đáp án Đề thi THPT quốc gia môn Vật lý năm 2019
- Đáp án Đề thi THPT Quốc gia môn Sinh học năm 2019
- Đáp án Đề thi THPT quốc gia môn Lịch sử năm 2019
- Đáp án đề thi THPT Quốc gia môn Địa lý năm 2019
- Đáp án Đề thi THPT Quốc gia môn Giáo dục công dân năm 2019
Trên đây VnDoc đã giới thiệu tới bạn đọc Đề thi thử THPT Quốc Gia môn Toán năm 2020. Để có kết quả cao hơn trong học tập, VnDoc xin giới thiệu tới các bạn học sinh tài liệu Thi thpt Quốc gia môn Toán, Thi thpt Quốc gia môn Hóa học, Thi thpt Quốc gia môn Vật Lý, Thi thpt Quốc gia môn Sinh học, Thi THPT Quốc gia môn Ngữ văn, Mã trường thpt mà VnDoc tổng hợp và đăng tải.
Đề minh họa 2020 lần 1
VnDoc.com xin được giới thiệu tới bạn đọc bộ đề minh họa 2020 lần 1 đầy đủ các môn + đáp án, mời các bạn cùng tham khảo.
- Đề minh họa môn Toán năm 2020
- Đề minh họa Ngữ văn năm 2020
- Đề minh họa môn Lịch sử năm 2020
- Đề minh họa môn Hóa năm 2020
- Đề minh họa Địa Lý năm 2020
- Đề minh họa môn GDCD năm 2020
- Đề minh họa môn Sinh học năm 2020
- Đề minh họa môn Vật lý năm 2020
- Đề minh họa tiếng Nhật năm 2020
- Đề minh họa tiếng Trung Quốc năm 2020
- Đề minh họa tiếng Đức năm 2020
- Đề minh họa tiếng Nga năm 2020
- Đề minh họa tiếng Pháp năm 2020
- Đề minh họa tiếng Anh năm 2020
Đề minh họa 2020 lần 2
- Đề minh họa môn Toán 2020 lần 2
- Đề minh họa Ngữ văn năm 2020 lần 2
- Đề minh họa môn Tiếng Anh 2020 lần 2
- Đề minh họa môn Hóa năm 2020 lần 2
- Đề minh họa môn Vật lý năm 2020 lần 2
- Đề minh họa môn Sinh học năm 2020 lần 2
- Đề minh họa Địa Lý năm 2020 lần 2
- Đề minh họa môn Lịch sử năm 2020 lần 2
- Đề minh họa môn GDCD năm 2020 lần 2
- Đề minh họa tiếng Đức năm 2020 lần 2
- Đề minh họa tiếng Nhật năm 2020 lần 2
- Đề minh họa tiếng Nga năm 2020 lần 2
- Đề minh họa tiếng Trung Quốc năm 2020 lần 2
Đề thi THPT Quốc Gia được tải nhiều
- Bộ đề thi thử THPT Quốc gia 2020 môn Toán
- Bộ đề thi thử THPT Quốc Gia 2020 môn Văn
- Bộ đề thi thử THPT Quốc Gia 2020 môn Anh
- Bộ đề thi thử THPT Quốc Gia 2020 môn Lý
- Bộ đề thi thử THPT Quốc Gia 2020 môn Hóa
- Bộ đề thi thử THPT Quốc Gia 2020 môn Sinh
- Bộ đề thi thử THPT Quốc Gia 2020 môn Sử
- Bộ đề thi thử THPT Quốc Gia 2020 môn Địa
- Bộ đề thi thử THPT Quốc Gia 2020 môn GDCD














đối với tứ diện gần đều và dùng lệnh CALC để tính. Chọn C.
