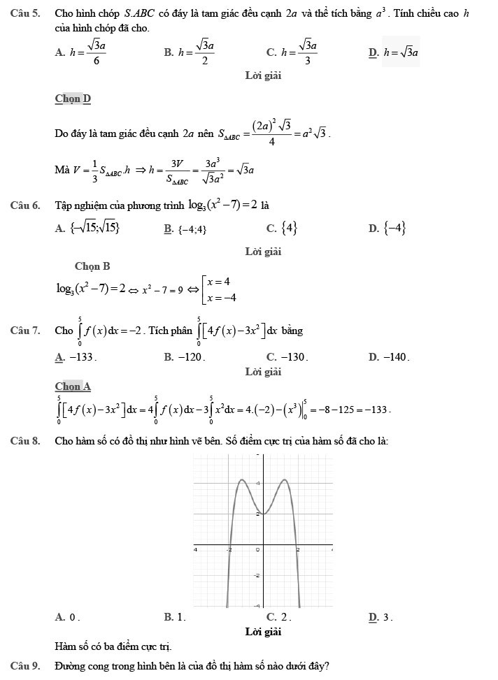
Đề minh họa môn Toán năm 2020
Đề thi minh họa môn Toán năm 2020
VnDoc.com xin gửi tới bạn đọc bài viết Đề minh họa môn Toán năm 2020 để bạn đọc cùng tham khảo và có thể hiểu rõ hơn nội dung thi môn Toán THPT Quốc gia năm 2020 nhé. Mời các bạn cùng tham khảo chi tiết tại đây.
- CẬP NHẬT: Giải chi tiết đề thi THPT Quốc gia 2020 môn Toán
- Bộ đề minh họa thi THPT Quốc gia 2020 ĐẦY ĐỦ 14 MÔN
- Đề thi thử THPT Quốc Gia môn Toán năm 2020
- Đề minh họa Ngữ văn năm 2020
Đề minh họa môn Toán năm 2020 vừa được VnDoc.com sưu tập và xin gửi tới bạn đọc cùng tham khảo. Đề thi gồm có 50 câu trắc nghiệm khách quan, thí sinh làm trong thời gian 90 phút, đề có đáp án gợi ý và lời giải chi tiết kèm theo. Mời các bạn cùng tham khảo chi tiết tại đây.
Lưu ý: Đề trong file tải, kéo xuống cuối trang, kích chọn Tải về để download đề thi.
Đáp án đề minh họa Toán 
























Dưới đây VnDoc.com xin gửi tới bạn đọc đề thi thử môn Toán 2020 phát triển theo đề minh họa thi THPT Quốc gia đã ra vào ngày 3/4 vừa qua, với mong muốn các bạn thử sức với các dạng câu hỏi cho thể ra trong đề thi thử THPT Quốc gia 2020. Đề thi gồm có 50 câu hỏi trắc nghiệm khách quan, thí sinh làm bài trong thời gian 90 phút, đề có đáp án và lời giải chi tiết kèm theo. Mong rằng qua đây các bạn có thêm tài liệu học tập nhé. Mời các bạn cùng tham khảo chi tiết và tải về tại đây.
Đề thi thử môn Toán 2020 phát triển theo đề minh họa




















Trên đây VnDoc.com vừa giới thiệu tới các bạn Đề minh họa môn Toán năm 2020 và đề thi thử THPT Quốc gia phát triển theo đề minh họa. Mong rằng qua đây các bạn có thể học tập tốt hơn môn Toán lớp 12 và đạt được kết quả tốt trong kì thi THPT Quốc gia sắp tới nhé. Mời các bạn cùng tham khảo thêm các môn Ngữ văn 12,Tiếng Anh 12, đề thi học kì 1 lớp 12, đề thi học kì 2 lớp 12...
Đề thi THPT Quốc Gia được tải nhiều
- Bộ đề thi thử THPT Quốc gia 2020 môn Toán
- Bộ đề thi thử THPT Quốc Gia 2020 môn Văn
- Bộ đề thi thử THPT Quốc Gia 2020 môn Anh
- Bộ đề thi thử THPT Quốc Gia 2020 môn Lý
- Bộ đề thi thử THPT Quốc Gia 2020 môn Hóa
- Bộ đề thi thử THPT Quốc Gia 2020 môn Sinh
- Bộ đề thi thử THPT Quốc Gia 2020 môn Sử
- Bộ đề thi thử THPT Quốc Gia 2020 môn Địa
- Bộ đề thi thử THPT Quốc Gia 2020 môn GDCD
