Công thức tính lãi suất
Công thức lãi suất
- 1. Công thức lãi đơn
- 2. Công thức lãi kép
- 3. Tiền gửi vào ngân hàng
- 4. Gửi ngân hàng và rút tiền gửi hàng tháng
- 5. Bài toán vay vốn trả góp
- 6. Bài toán tăng lương
- 7. Bài toán rút sổ tiết kiệm theo định kỳ
- 8. Bài toán tăng trưởng dân số
- 9. Khái niệm lãi suất
- 9. Bài toán lãi suất và tăng trưởng
- Lịch thi THPT Quốc Gia 2023
Trong chương trình Toán 12, đặc biệt ở phần Giải tích, bài toán lãi suất là một trong những ứng dụng thực tế quan trọng và thú vị nhất. Không chỉ giúp học sinh hiểu rõ hơn về bản chất của lãi suất đơn, lãi suất kép mà còn trang bị kiến thức hữu ích cho cuộc sống sau này. Bài viết dưới đây sẽ hướng dẫn bạn chi tiết công thức tính lãi suất, cách áp dụng vào bài tập và phân tích các ví dụ minh họa giúp bạn nắm chắc kiến thức để tự tin vượt qua kỳ thi THPT Quốc gia.
1. Công thức lãi đơn
- Lãi đơn: là số tiền lãi chỉ tính trên số tiền gốc mà không tính trên số tiền lãi do số tiền gốc sinh ra, tức là tiền lãi của kì hàn trước không được tính vào vốn để tính lãi cho kì hạn tiếp theo cho dù đến kì hạn người gửi không đến gửi tiền ra.
- Công thức tính lãi đơn: Khách hàng gửi vào ngân hàng M đồng với lãi suất đơn a%/kì hạn thì số tiền khách hàng nhận được cả vốn lẫn lãi sau
kì hạn là:
![]()
2. Công thức lãi kép
- Lãi kép: là tiền lại của kì hạn trước nếu người gửi không rút ra thì được tính vào vốn để tính lãi cho kì hạn tiếp theo
- Công thức tính lãi kép: Khách hàng gửi vào ngân hàng M đồng với lãi suất kép a%/kì hạn thì số tiền khách hàng nhận được cả vốn lẫn lãi sau
kì hạn là:
![]()
3. Tiền gửi vào ngân hàng
- Mỗi tháng gửi cùng một số tiền vào một thời gian cố định
- Công thức tính gốc lãi trả đều hàng tháng: Khách hàng gửi vào ngân hàng M đồng với lãi suất kép a%/tháng thì số tiền khách hàng nhận được cả vốn lẫn lãi sau
tháng là:
![]()
4. Gửi ngân hàng và rút tiền gửi hàng tháng
- Công thức tính lãi ngân hàng: Gửi vào ngân hàng số tiền M đồng với lãi suất hàng tháng là a%, mỗi tháng rút ra m đồng vào ngày ngân hàng tính lãi. Hỏi sau n tháng, số tiền còn lại là bao nhiêu?
![]()
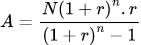
5. Bài toán vay vốn trả góp
- Công thức tính: Vay M đồng với lãi suất a%/tháng. Hỏi hàng tháng phải trả bao nhiêu tiền để sau n tháng thì hết nợ?
- Giả sử số tiền hàng tháng phải trả là: T (đồng)
- Ta có công thức sau:

6. Bài toán tăng lương
- Một người được lĩnh lương khởi điểm là K đồng/tháng. Cứ sau n tháng thì người đó được tăng thêm a%/lần. Hỏi sau x tháng thì người đó lĩnh được bao nhiêu tiền?
- Công thức tính lương: 
7. Bài toán rút sổ tiết kiệm theo định kỳ
Một người gửi vào sổ tiết kiệm ngân hàng số tiền N đồng Lãi suất r%/tháng. Nếu mỗi tháng người đó rút ra một số tiền như nhau là A đồng vào ngày ngân hàng trả lãi thì hàng tháng anh ta rút ra bao nhiêu tiền (làm tròn đến 1000 đồng) để sau đúng n năm sẽ vừa hết số tiền cả vốn lẫn lãi?
Sau tháng thứ n số tiền trong sổ anh ta vừa hết số tiền ta có công thức như sau:
![]()
Thực chất bài toán này giống như bài toán vay trả góp, trong toán vay trả góp thì người vay nợ ngân hàng, còn trong bài toán rút tiền này thì ngân hàng nợ người vay => bản chất không có gì khác
8. Bài toán tăng trưởng dân số
Công thức tính: S = A.en.r
Dân số ban đầu là A.
n: sau n thời gian
r: Tỉ lệ tăng
S: Tổng số dân số sau n năm
Ví dụ: Sự tăng trưởng dân số được ước tính theo công thức tăng trưởng mũ. Biết rằng tỉ lệ tăng dân số thế giới hàng năm là 1,32%, năm 2013 dân số thế giới vào khoảng 7095 triệu người. Dự đoán dân số năm 2020?
Theo công thức tăng trưởng mũ thì dự đoán dân số năm 2020 là S = 7095.e7.0,0132 ≈ 7781 triệu.
9. Khái niệm lãi suất
Trong nền kinh tế thị trường, lãi suất là một trong những biến số kinh tế vĩ mô được quan tâm và theo dõi chặt chẽ. Trong kinh doanh, hiện tượng thừa thiếu vốn tạm thời thường xuyên xảy ra đối với các chủ thể kinh tế. Với tư cách trung gian tài chính, hệ thống ngân hàng và các tổ chức tín dụng ra đời thu hút mọi khoản tiền nhàn rỗi, cung ứng cho nền kinh tế dưới nhiều hình thức, đẩy mạnh quá trình vận động, luân chuyển của đồng tiền, góp phần điều hoà và phân bổ hợp lý nguồn vốn trong nền kinh tế.
Khi nghiên cứu về tư bản, Mác đã kết luận: Lãi suất cũng là phần giá trị thặng dư được tạo ra do kết quả bóc lột lao động làm thuê và bị bọn tư bản - chủ ngân hàng chiếm đoạt. Vì thế, lãi suất là giá cả của một số tiền vay.
Lý thuyết chung về việc làm, lãi suất và tiền tệ của Keynes lại cho rằng: Lãi suất chính là sự trả công cho số tiền vay, là phần thưởng cho "sở thích chi tiêu tư bản ". Lãi suất do đó còn được gọi là công trả cho sự chia li với của cải tiền tệ.
Còn Samuelson, đại diện cho trường phái trọng tiền đứng trên giác độ chi phí, coi lãi suất là chi phí cơ hội của việc giữ tiền.
Cho dù lãi suất được hiểu theo khái niệm nào thì về bản chất, lãi suất là tỷ lệ % của phần tăng thêm so với phần vốn vay ban đầu, là giá cả của quyền được sử dụng vốn vay trong một thời gian nhất định mà người sử dụng trả cho người sở hữu nó.
9. Bài toán lãi suất và tăng trưởng
Bài 1. Chú Việt gửi vào ngân hàng 10 triệu đồng với lãi suất 5%/năm. Tiền lãi năm trước được cộng dồn vào tiền gốc để tính tiền lãi năm sau. Hỏi sau ít nhất bao nhiêu năm thì chú Việt thu được gấp đôi số tiền đã gửi?
Hướng dẫn giải
Áp dụng công thức: ![]()
Trong đó: ![]()
Ta được: 14,20669908.
Bài 2. Chú Tư gửi vào ngân hàng 50 triệu đồng với lãi suất 0,6%/tháng. Sau mỗi tháng, chú Tư đến ngân hàng rút mỗi tháng 3 triệu đồng để chi tiêu cho đến khi hết tiền thì thôi. Sau một số tròn tháng thì chú Tư rút hết tiền cả gốc lẫn lãi. Biết trong suốt thời gian đó, ngoài số tiền rút mỗi tháng chú Tư không rút thêm một đồng nào kể cả gốc lẫn lãi và lãi suất không đổi. Vậy tháng cuối cùng chú Tư sẽ rút được số tiền là bao nhiêu (làm tròn đến đồng)?
A.
đồng. B.
đồng. C.
đồng. D.
đồng.
Hướng dẫn giải
Cách 1. Làm theo hướng tự luận
Áp dụng công thức tính số tiền còn lại sau
tháng 
Với
triệu đồng,
và
triệu đồng ta được
.
Để rút hết số tiền thì ta tìm số nguyên dương
nhỏ nhất sao cho ![]()
![]()
Khi đó số tiền tháng cuối cùng mà chú Tư rút là
triệu đồng
đồng
Cách 2. Làm theo hướng trắc nghiệm
Nhập lên màn hình máy tính
, tính giá trị chạy từ 10 đến 20 với step bằng 1 ta được bằng giá trị tương ứng và số tiền còn lại nhơ hơn 3 ứng với
.
Từ đó tính được số tiền rút ra ở tháng cuối cùng là
triệu đồng
Bài 3. Ông Năm gửi
triệu đồng ở hai ngân hàng X và Y theo phương thức lãi kép. Số tiền thứ nhất gửi ở ngân hàng X với lãi suất
một quý trong thời gian
tháng. Số tiền còn lại gửi ở ngân hàng Y với lãi suất
một tháng trong thời gian
tháng. Tổng lợi tức đạt được ở hai ngân hàng là
(chưa làm tròn). Hỏi số tiền ông Năm lần lượt gửi ở ngân hàng X và Y là bao nhiêu?
A.
triệu và
triệu. B.
triệu và
triệu.
C.
triệu và
triệu. D.
triệu và
triệu.
Hướng dẫn giải
Tổng số tiền cả vốn và lãi (lãi chính là lợi tức) ông Năm nhận được từ cả hai ngân hàng là
triệu đồng.
Gọi
(triệu đồng) là số tiền gửi ở ngân hàng X, khi đó
(triệu đồng) là số tiền gửi ở ngân hàng Y.
Theo giả thiết ta có:
![]()
Ta được
. Vậy ông Năm gửi
triệu ở ngân hàng X và
triệu ở ngân hàng Y.
Đáp án: A.
Bài 4. Anh Bình vay ngân hàng
tỷ đồng để xây nhà và trả dần mỗi năm
triệu đồng. Kỳ trả đầu tiên là sau khi nhận vốn với lãi suất trả chậm
một năm. Hỏi sau mấy năm anh Bình mới trả hết nợ đã vay?
Hướng dẫn giải
Kỳ trả nợ đầu tiên là sau khi nhận vốn nên đây là bài toán vay vốn trả góp đầu kỳ.
Gọi
là số tiền vay ngân hàng,
là số tiền trả trong mỗi chu kỳ,
là lãi suất trả chậm (tức là lãi suất cho số tiền còn nợ ngân hàng) trên một chu kỳ,
là số kỳ trả nợ.
Số tiền còn nợ ngân hàng (tính cả lãi) trong từng chu kỳ như sau:
+ Đầu kỳ thứ nhất là
.
+ Đầu kỳ thứ hai là
.
+ Đầu kỳ thứ ba là
.
……
+ Theo giả thiết quy nạp, đầu kỳ thứ
là ![]()
Vậy số tiền còn nợ (tính cả lãi) sau
chu kỳ là
.
Trở lại bài toán, để sau
năm (chu kỳ ở đây ứng với một năm) anh Bình trả hết nợ thì ta có
.
Vậy phải sau
năm anh Bình mới trả hết nợ đã vay.
Bài 5. Lãi suất tiền gửi tiết kiệm của một số ngân hàng hiện nay là
một năm đối với kỳ hạn một năm. Để khuyến mãi, ngân hàng
đưa ra dịch vụ mới như sau: nếu khách hàng gửi tiết kiệm năm đầu thì lãi suất là
một năm; sau đó, lãi suất năm sau hơn lãi suất năm trước đó là
. Hỏi nếu gửi
triệu đồng theo dịch vụ đó thì sau
năm số tiền sẽ nhận được cả gốc và lãi là bao nhiêu? (làm tròn đến hàng đơn vị)
Hướng dẫn giải
Ta nhập vào MTCT như sau:
Thiết lập:
,
;
(biến đếm).
Phép lặp:
.
Bấm CALC = = =…, đến khi
ta được
.
Bài 6. Theo chính sách tín dụng của chính phủ hỗ trợ sinh viên vay vốn trang trải học tập: mỗi sinh viên được vay tối đa
đồng/ tháng (9 triệu/ năm học), với lãi suất
một tháng. Mỗi năm lập thủ tục vay
lần ứng với
học kỳ và được nhận tiền vay đầu mỗi học kỳ (mỗi lần nhận tiền vay là
triệu). Giả sử sinh viên
trong thời gian học đại học
năm vay tối đa theo chính sách thì tổng sợ tiền nợ bao gồm cả lãi là bao nhiêu? (làm tròn đến hàng đơn vị)
A.
B.
C.
D. ![]()
Hướng dẫn giải
Sau
năm học đại học tức là
học kỳ, ta nhập vào MTCT như sau:
Thiết lập:
,
(biến đếm).
Phép lặp:
.
Bấm CALC = = =…, đến khi
ta được ![]()
Bài 7: Một người gửi tiết kiệm vào ngân hàng khoảng tiền cố định với lãi suất 0.6%/tháng và lãi suất hàng tháng được nhập vào vốn. Hỏi sau bao lâu thì người đó thu được số tiền gấp hơn ba ban đầu?
A. 184 tháng B. 183 tháng C. 186 tháng D. 185 tháng
Hướng dẫn giải
![]()
Bài 8: Một người vay ngân hàng số tiền
triệu đồng, mỗi tháng trả góp
triệu đồng và lãi suất cho số tiền chưa trả là
một tháng. Kỳ trả đầu tiên là cuối tháng thứ nhất. Hỏi số tiền phải trả ở kỳ cuối là bao nhiêu để người này hết nợ ngân hàng? (làm tròn đến hàng nghìn)
A.
. B.
. C.
. D.
.
Hướng dẫn giải
Kỳ trả đầu tiên là cuối tháng thứ nhất nên đây là bài toán vay vốn trả góp cuối kỳ.
Gọi
là số tiền vay ngân hàng,
là số tiền trả trong mỗi chu kỳ,
là lãi suất cho số tiền chưa trả trên một chu kỳ,
là số kỳ trả nợ.
Số tiền còn nợ ngân hàng (tính cả lãi) trong từng chu kỳ như sau:
+ Đầu kỳ thứ nhất là
.
+ Cuối kỳ thứ nhất là
.
+ Cuối kỳ thứ hai là
.
+ Cuối kỳ thứ ba là
![]()
.
……
+ Theo giả thiết quy nạp, cuối kỳ thứ
là
![]()
![]()
Vậy số tiền còn nợ (tính cả lãi) sau
chu kỳ là
.
Trở lại bài toán, gọi
(tháng) là số kỳ trả hết nợ.
Khi đó, ta có:
![]()
.
Tức là phải mất
tháng người này mới trả hết nợ.
Cuối tháng thứ
, số tiền còn nợ (tính cả lãi) là
(triệu đồng).
Kỳ trả nợ tiếp theo là cuối tháng thứ
, khi đó phải trả số tiền
và lãi của số tiền này nữa là:
(triệu đồng).
Bài 9: Trong một phòng khoảng cách hai bức tường là L và chiều cao tường là H có Bài 9: Lãi suất của tiền gửi tiết kiệm của một số ngân hàng thời gian vừa qua liên tục thay đổi. Bạn Châu gửi số tiền ban đầu là 5 triệu đồng với lãi suất 0,7% tháng chưa đầy một năm, thì lãi suất tăng lên 1,15% tháng trong nửa năm tiếp theo và bạn Châu tiếp tục gửi; sau nửa năm đó lãi suất giảm xuống còn 0,9% tháng, bạn Châu tiếp tục gửi thêm một số tháng tròn nữa, khi rút tiền bạn Châu được cả vốn lẫn lãi là 5 747 478,359 đồng (chưa làm tròn). Hỏi bạn Châu đã gửi tiền tiết kiệm trong bao nhiêu tháng?
Hướng dẫn giải
Gọi
lần lượt là số tháng bạn Châu đã gửi với lãi suất 0,7%/tháng và 0,9%/tháng thì ta có
![]()
![]()
![]()
Nhập vào máy tính
nhập hàm số
, cho giá trị
chạy từ 1 đến 10 với STEP 1. Nhìn vào bảng kết quả ta được cặp số nguyên là
.
Vậy bạn Châu đã gửi tiền tiết kiệm trong
tháng.
Bài 10: Đầu mỗi tháng anh Thắng gửi vào ngân hàng số tiền 3 triệu đồng với lãi suất 0,6%/tháng. Hỏi sau ít nhất bao nhiêu tháng (khi ngân hàng đã tính lãi) thì anh Thắng được số tiền cả gốc lẫn lãi từ 100 triệu trở lên?
Hướng dẫn giải
![]()
Vậy anh Thắng phải gửi ít nhất là 31 tháng mới được số tiền cả gốc lẫn lãi từ 100 triệu trở lên.