Đề thi thử THPT Quốc gia môn Toán năm 2016 trường THPT Lý Thái Tổ, Bắc Ninh (Lần 2)
Đề thi thử THPT Quốc gia môn Toán năm 2016
Đề thi thử THPT Quốc gia môn Toán năm 2016 trường THPT Lý Thái Tổ, Bắc Ninh (Lần 2) là đề thi thử đại học năm 2016 môn Toán có đáp án đi kèm. Đây là tài liệu ôn tập môn Toán hữu ích, giúp các bạn luyện tập và củng cố kiến thức môn Toán hiệu quả, từ đó bước vào kì thi THPT Quốc gia, luyện thi Đại học được tốt nhất.
Tuyển tập 20 đề thi thử THPT Quốc gia môn Toán năm 2016
|
SỞ GD & ĐT BẮC NINH TRƯỜNG THPT LÝ THÁI TỔ ĐỀ THI THỬ LẦN 2 |
KỲ THI THỬ THPT QUỐC GIA NĂM HỌC 2015 - 2016 Môn thi: TOÁN Thời gian: 180 phút, không kể thời gian phát đề. Ngày thi: 15/01/2016 |
Câu 1 (2,0 điểm). Cho hàm số:
(1) với m là tham số.
a. Khảo sát sự biến thiên và vẽ đồ thị của hàm số (1) khi m = 1.
b. Tìm tất cả các giá trị m để đường thẳng d: y = -2x + m cắt đồ thị của hàm số (1) tại hai điểm phân biệt có hoành độ x1, x2 sao cho |4(x1 + x2) - 6x1x2| = 21.
Câu 2 (1,0 điểm).
a. Giải phương trình: sin2x + 1 = cosx - cos2x.
b. Giải bất phương trình: log2(x - 1) ≤ log1/2 (x + 3) + 5.
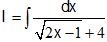
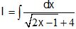
Câu 3 (1,0 điểm). Tính nguyên hàm: ![]()
Câu 4 (1,0 điểm). Trong mặt phẳng với hệ tọa độ Oxy, cho tam giác ABC vuông tại A(3; 2) có tâm đường tròn ngoại tiếp là I(2; -1) và điểm B nằm trên đường thẳng d có phương trình: x - y - 7 = 0. Tìm tọa độ đỉnh B, C.
Câu 5 (1,0 điểm).
a. Cho tanα = -1/2 với -π/2 < α < 0. Tính giá trị của biểu thức: A = √5cosα - 5sin2α.
b. Cho X là tập hợp gồm 6 số tự nhiên lẻ và 4 số tự nhiên chẵn. Chọn ngẫu nhiên từ tập X ba số tự nhiên. Tính xác suất chọn được ba số tự nhiên có tích là một số chẵn.
Câu 6 (1,0 điểm). Cho hình lăng trụ đứng ABCD.A'B'C'D' có đáy là hình thoi cạnh a, góc BAD = 1200 và AC' = a√5. Tính thể tích khối lăng trụ ABCD.A'B'C'D' và khoảng cách giữa hai đường thẳng AB' và BD theo a.
Câu 7 (1,0 điểm). Trong mặt phẳng với hệ tọa độ Oxy, cho hình chữ nhật ABCD có hình chiếu vuông góc của A lên đường thẳng BD là H(-6/5; 7/5), điểm M(-1; 0) là trung điểm cạnh BC và phương trình đường trung tuyến kẻ từ A của tam giác ADH có phương trình là 7x + y - 3 = 0. Tìm tọa độ các đỉnh của hình chữ nhật ABCD.
Câu 8 (1,0 điểm). Giải phương trình: ![]()
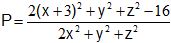
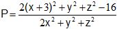
Câu 9 (1,0 điểm). Cho x, y, z là ba số dương thỏa mãn: ![]()
Tìm giá trị lớn nhất của biểu thức: ![]()
Đáp án đề thi thử THPT Quốc gia môn Toán năm 2016




