Tuyển tập 20 đề thi thử THPT Quốc gia môn Toán năm 2016
Tuyển tập 20 đề thi thử THPT Quốc gia môn Toán năm 2016
Tuyển tập 20 đề thi thử THPT Quốc gia môn Toán năm 2016 được VnDoc.com sưu tầm và đăng tải, bao gồm đề thi thử đại học, đề khảo sát chất lượng môn toán của nhiều trường THPT trong cả nước. Hi vọng tài liệu này sẽ giúp các bạn ôn tập và củng cố kiến thức hiệu quả, chuẩn bị sẵn sàng cho kỳ thi trung học phổ thông quốc gia năm 2016. Mời các bạn cùng tham khảo.
Đề thi thử THPT Quốc gia môn Toán lần 1 năm 2016 trường THPT Chuyên Vĩnh Phúc
Tuyển tập 20 đề thi thử THPT Quốc gia môn Toán năm 2016
Đề thi thử THPT Quốc gia môn Toán trường THPT Đào Duy Từ
|
TRƯỜNG THPT ĐÀO DUY TỪ |
ĐỀ THI THỬ ĐẠI HỌC LẦN THỨ 2 (25/10/2015) MÔN THI: TOÁN HỌC Thời gian làm bài 180 phút; không kể thời gian giao đề |
Câu I: Cho hàm số f(x) = -x4 + 2(m + 1)x2 – 2m – 1
1) Khảo sát và vẽ đồ thị hàm số với m = 0
2) Tìm các giá trị của m để đồ thị hàm số cắt trục hoành tại 4 điểm phân biệt có hoành độ tạo thành cấp số cộng.
Câu II:
1) Tìm giá trị lớn nhất và giá trị nhỏ nhất của hàm số y = √(5-4x) trên đoạn [-1;1]
2) Tìm a ≥ 1 để nghiệm lớn của phương trình: x2 + (2a – 6)x + 1 – 13 = 0 đạt giá trị lớn nhất.
Câu III: Giải các phương trình sau:
1) log√2 (x – 1) – log1/2 (x + 5) = log4 (3x + 1)2
![]()
Câu IV:
1) Trong mặt phẳng với hệ độ độ Oxy, cho tam giác ABC có tâm đường tròn ngoại tiếp tam giác ABC là I (-2; 1) và thỏa mãn điều kiện góc AIB = 900, chân đường cao kẻ từ A đến BC là D (-1; -1), đường thẳng AC đi qua điểm M (-1;4). Tìm tọa độ các đỉnh A, B biết rằng đỉnh A có hoành độ dương.
2) Cho đường thẳng (d) và đường tròn (C) có phương trình: (d): 2x – 2y – 1 = 0, (C): (x + 1)2 + (y+ 2)2 = 2
a) Xác định vị trí tương đối của (d) và (C).
b) Tìm trên (C) điểm N(x1; y1) sao cho x1 + y1 đạt giá trị lớn nhất, nhỏ nhất.
Câu V: Cho hình chóp S.ABC có cạnh bên SA vuông góc với đáy, mặt bên (SBC) tạo với đáy góc 600. Biết SB = SC = BC =a tính thể tích khối chóp theo a.
Câu VI: Khai triển (x – 2)100 = a0 + a1x + a2x2 + ... + a100x100
a) Tính T = a0 + a1 + a2 + ... + a100
b) Tính S = a1 + 2a2 + ... + 100a100
Đề thi thử THPT Quốc gia môn Toán trường THPT Lý Thái Tổ, Bắc Ninh
Bộ đề thi thử THPT Quốc gia năm 2016 môn Sinh học - Số 1
|
SỞ GD & ĐT BẮC NINH TRƯỜNG THPT LÝ THÁI TỔ |
ĐỀ THI THỬ THPT QUỐC GIA NĂM HỌC 2015-2016 Môn: TOÁN; Thời gian: 180 phút, không kể thời gian phát đề. Ngày thi: 7/11/2015 |
Câu 1 (2.0 điểm) Cho hàm số: y = x3 + 3x2 + 1 có đồ thị là (C).
a. Khảo sát sự biến thiên và vẽ đồ thị của hàm số.
b. Viết phương trình tiếp tuyến của đồ thị (C) tại điểm A(1; 5). Gọi B là giao điểm của tiếp tuyến với đồ thị (C). Tính diện tích tam giác OAB, với O là gốc tọa độ.
Câu 2 (1.0 điểm) Tìm giá trị lớn nhất và giá trị nhỏ nhất của hàm số trên
đoạn [2; 4].
Câu 3 (1.0 điểm)
a) Giải phương trình lượng giác: cos2x + cos6x = cos4x
b) Cho cos2α = -4/5 với π/2 < α < π. Tính giá trị của biểu thức: P = (1 + tanα)cos(π/4 - α)
Câu 4 (1.0 điểm)
a) Tìm hệ số của số hạng chứa x2000 trong khai triển của nhị thức: (x + 2/x2)2016.
b) Gọi X là tập hợp các số tự nhiên gồm 6 chữ số đôi một khác nhau được tạo thành từ các chữ số 1, 2, 3, 4, 5, 6, 7, 8, 9. Chọn ngẫu nhiên một số từ tập hợp X. Tính xác suất để số được chọn chỉ chứa 3 chữ số lẻ.
Câu 5 (1.0 điểm). Trong mặt phẳng với hệ tọa độ Oxy, cho hai điểm A(-1; 2), B(3; 4) và đường thẳng d có phương trình: x – 2y – 2 = 0. Tìm điểm M thuộc đường thẳng d sao cho: MA2 + MB2 = 36
Câu 6 (1.0 điểm). Cho hình chóp S.ABCD có dấy ABC là tam giác vuông tại B và AB = 2, AC = 4. Hình chiếu vuông góc của đỉnh S trên mặt phẳng (ABCD) là trung điểm H của đoạn thẳng AC. Cạnh bên SA tạo với mặt đáy một góc 600. Tính thể tích khối chóp S.ABC và khoảng cách giữa hai đường thẳng AB và SC.
Câu 7 (1.0 điểm). Trong mặt phẳng với hệ tọa độ Oxy, cho tam giác ABC vuông tại A nội tiếp đường tròn (T) có phương trình: x2 + y2 -6x - 2y + 5 = 0. Gọi H là hình chiếu của A trên BC. Đường tròn đường kính AH cắt AB, AC lần lượt tại M, N. Tìm tọa độ điểm A và viết phương trình cạnh BC, biết đường thẳng MN có phương trình: 20x - 10y - 9 = 0 và điểm H có hoành độ nhỏ hơn tung độ.
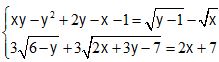
Câu 8 (1.0 điểm). Giải hệ phương trình: 
Câu 9 (1.0 điểm). Cho x, y, z là ba số thực dương thỏa mãn: x + y + z ≥ 3. Tìm giá trị nhỏ nhất của biểu thức:

Mời các bạn tải file đầy đủ để xem chi tiết.