Đề thi thử THPT Quốc gia môn Toán lần 1 năm 2016 trường THPT Ngô Sĩ Liên, Bắc Giang
Đề thi thử THPT Quốc gia môn Toán
Đề thi thử THPT Quốc gia môn Toán lần 1 năm 2016 trường THPT Ngô Sĩ Liên, Bắc Giang được VnDoc.com sưu tầm và đăng tải, đây là tài liệu ôn tập, củng cố kiến thức môn Toán hữu ích dành cho các bạn học sinh lớp 12 thử sức trước kỳ thi THPT Quốc gia 2016. Đề thi có đáp án đi kèm, hi vọng sẽ giúp các bạn luyện tập đạt hiệu quả hơn. Mời các bạn tham khảo.
Đề thi thử THPT Quốc gia môn Toán lần 2 năm 2016 trường THPT Ngô Sĩ Liên, Bắc Giang
Đề thi thử THPT Quốc gia môn Sinh học lần 1 năm 2016 trường THPT Ngô Sĩ Liên, Bắc Giang
| SỞ GD VÀ ĐÀO TẠO BẮC GIANG TRƯỜNG THPT NGÔ SĨ LIÊN |
ĐỀ THI THỬ KỲ THI THPT QUỐC GIA LẦN 1 Năm học 2015 - 2016 MÔN: TOÁN LỚP 12 Thời gian làm bài: 120 phút, không kể thời gian phát đề. |
Câu 1 (2,0 điểm) Cho hàm số y = x3 - 3x2 + 2 (1).
Khảo sát sự biên thiên và vẽ đồ thị (C) của hàm số (1).
Viết phương trình tiếp tuyến song song với đường thẳng d: y = 9x + 7.
Câu 2 (1,0 điểm) Tìm giá trị lớn nhất và giá trị nhỏ nhất của hàm số
trên đoạn [2; 5].
Câu 3 (1, 0 điểm) Tìm giá trị của tham số m để hàm số y = x3 + (m + 3)x2 +m2x + 1 đạt cực tiểu tại x = 1.
Câu 4 (1,0 điểm) Tìm giá trị của biểu thức P = cos(α + π/3) . cos(α - π/3) biết cosα = 3/5.
Câu 5 (1,0 điểm) Lớp 12A có ba bạn học sinh nam và 3 bạn học sinh nữ đi cổ vũ cuộc thi tìm hiểu Luật an toàn giao thông. Các em được xếp ngồi vào 6 ghê hàng ngang. Tính xác suất sao cho ba bạn nữ ngồi cạnh nhau.
Câu 6 (1,0 điểm) Cho hình chóp S.ABCD có đáy ABCD là hình chữ nhật vớ AB = a, BC = 2a. SA vuông góc với mặt phẳng (ABCD), góc giữa đường thẳng SB và mặt phẳng (ABCD) bằng 450. Tính theo a thể tích khối chóp S.ABCD và khoảng cách giữa hai đường thẳng SB, AC.
Câu 7 (1,0 điểm) Trong mặt phẳng tọa độ Oxy, cho hình thang ABCD vuông tại A, D có AD = DC = 2AB. Gọi H là hình chiếu vuông góc của D trên cạnh BC; I là trung điểm của AH; đường thẳng AI cắt DC tại k(1; -2). Tìm tọa độ của các điểm D, C biết DH: x - 2y - 3 = 0 và D có tung độ nguyên.
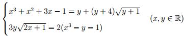
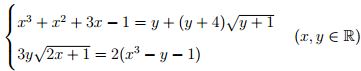
Câu 8 (1,0 điểm) Giải hệ phương trình

Câu 9 (1,0 điểm) Cho các số thực dương x, y, z thỏa mãn điều kiện x ≥ z. Tìm giá tị lớn nhất của biểu thức

Đáp án đề thi thử THPT Quốc gia môn Toán


