Đề thi thử THPT Quốc gia môn Toán lần 2 năm 2016 trường THPT Ngô Sĩ Liên, Bắc Giang
Đề thi thử THPT Quốc gia môn Toán
Đề thi thử THPT Quốc gia môn Toán lần 2 năm 2016 trường THPT Ngô Sĩ Liên, Bắc Giang là đề thi thử đại học môn Toán có đáp án chi tiết, rõ ràng giúp các bạn ôn tập thật tốt, luyện thi đại học môn Toán hiệu quả, chuẩn bị cho kì thi THPT Quốc gia năm 2016 môn Toán được chắc chắn nhất.
Đề thi thử THPT Quốc gia môn Toán lần 1 năm 2016 trường THPT Yên Lạc 2, Vĩnh Phúc
Đề thi thử THPT Quốc gia môn Ngữ văn lần 2 năm 2016 trường THPT Ngô Sĩ Liên, Bắc Giang
Đề thi thử THPT Quốc gia môn Hóa học lần 2 năm 2016 trường THPT Ngô Sĩ Liên, Bắc Giang
|
SỞ GD&ĐT BẮC GIANG TRƯỜNG THPT NGÔ SĨ LIÊN |
ĐỀ THI THỬ KỲ THI THPT QUỐC GIA LẦN 2 Năm học 2015 - 2016 Môn: TOÁN LỚP 12 Thời gian làm bài: 120 phút, không kể thời gian phát đề |
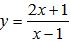
Câu 1 (1,0 điểm).
Khảo sát sự biến thiên và vẽ đồ thị hàm số:
.
Câu 2 (1,0 điểm).
Cho hàm số y = x4 + mx2 - m - 5 có đồ thị là (Cm), m là tham số. Xác định m để đồ thị (Cm) của hàm số đã cho có ba điểm cực trị.
Câu 3 (1,0 điểm).
Cho log315 = a, log310 = b. Tính log950 theo a và b.
Câu 4 (2,0 điểm).
Giải các phương trình sau:
a) 2sinxcosx + 6sinx - cosx - 3 = 0;
b) 22x+5 + 22x+3 = 52x+2 + 3.52x+1.
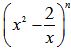
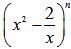
Câu 5 (1,0 điểm).
Tìm số hạng chứa x4 trong khai triển nhị thức Niu-tơn của
với x ≠ 0, biết rằng:
với n là số nguyên dương.
Câu 6 (1,0 điểm).
Cho hình chóp S.ABC có đáy ABC là tam giác vuông tại B, BA = 3a, BC = 4a và AB vuông góc với mặt phẳng (SBC). Biết SB = 2a√3 và
. Tính thể tích khối chóp S.ABC và khoảng cách từ điểm B đến mặt phẳng (SAC) theo a.
Câu 7 (1,0 điểm).
Trong mặt phẳng với hệ tọa độ Oxy, cho hình chữ nhật ABCD có điểm C thuộc đường thẳng d: 2x + y + 5 = 0 và A(-4; 8). Gọi E là điểm đối xứng với B qua C, F(5; -4) là hình chiếu vuông góc của B trên đường thẳng ED. Tìm tọa độ điểm C và tính diện tích hình chữ nhật ABCD.
Câu 8 (1,0 điểm).
Giải phương trình:
.
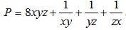
Câu 9 (1,0 điểm).
Cho x, y, z là ba số thực dương thỏa mãn: x2 + y2 + z2 ≤ 3/4. Tìm giá trị nhỏ nhất của biểu thức:
![]()
Đáp án đề thi thử THPT Quốc gia môn Toán



