Đề thi thử THPT Quốc gia môn Toán lần 1 năm 2016 trường THPT Yên Lạc 2, Vĩnh Phúc
Đề thi thử THPT Quốc gia môn Toán
Đề thi thử THPT Quốc gia môn Toán lần 1 năm 2016 trường THPT Yên Lạc 2, Vĩnh Phúc là đề thi thử đại học năm 2016 môn Toán có đáp án. Tài liệu này giúp các bạn tự luyện tập, ôn luyện lại kiếm thức đã học, nhằm chuẩn bị tốt nhất cho các kì thi trung học phổ thông quốc gia năm 2016 sắp tới. Mời các bạn tham khảo.
Đề thi thử THPT Quốc gia môn Toán lần 2 năm 2016 trường THPT Bố Hạ, Bắc Giang
Đề thi thử THPT Quốc gia môn Toán lần 1 năm 2016 trường THPT Hàn Thuyên, Bắc Ninh
TRƯỜNG THPT YÊN LẠC 2
ĐỀ THI KHẢO SÁT CHẤT LƯỢNG LẦN 1 NĂM HỌC 2015 - 2016
Môn: Toán, Khối: 12
Thời gian làm bài: 150 phút (Không kể thời gian phát đề)
Câu 1. (1,0 điểm) Khảo sát sự biến thiên và vẽ đồ thị của hàm số: ![]()
Câu 2. (1,0 điểm) Tìm m để đồ thị hàm số y= x3 - 3mx2 + 4m2 - 2 có hai điểm cực trị A và B sao cho điểm I(1; 0) là trung điểm của đoạn AB.
Câu 3. (1,0 điểm) Tìm giá trị lớn nhất, giá trị nhỏ nhất của hàm số f(x) = x3 + 3x2 - 9x + 3 trên đoạn [-2; 2].
Câu 4. (1,0 điểm) Giải bất phương trình: ![]()
Câu 5. (1 điểm) Giải phương trình: (1 + 2cosx) (cosx - sinx) = cos2x.
Câu 6. (1,0 điểm)
a) Tìm hệ số x3 trong khai triển (x2 + 2/x)12; x ≠ 0.
b) Cho đa giác đều có 12 đỉnh. Chọn ngẫu nhiên ba đỉnh trong 12 đỉnh của đa giác, tính xác suất để 3 đỉnh được chọn tạo thành một tam giác đều.
Câu 7. (1,0 điểm) Cho hình chóp S.ABCD có đáy ABCD là hình thang vuông tại A và B. Các cạnh AB = BC = 2a, AD =a, tam giác SBC đều, mặt phẳng (SBC) vuông góc với mặt phẳng (ABCD). Tính theo a thể tích khối chóp S.ABCD và khoảng cách giữa hai đường thẳng SA và DC.
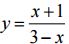
Câu 8. (1,0 điểm) Giải phương trình: ![]()
Câu 9. (1,0 điểm) Trong mặt phẳng với hệ toạ độ Oxy, cho tam giác ABC có đỉnh A(-1; -1 A); đường tròn ngoại tiếp tam giác
ABC có phương trình: (x - 3)2 + (y - 2)2 = 25. Viết phương trình đường thẳng BC, biết I(1; 1) là tâm đường tròn nội tiếp tam giác ABC.
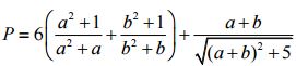
Câu 10. (1,0 điểm) Cho a, b là các số thực không âm thỏa mãn: 2(a2 + b2) + (a + b) = 6. Tìm giá trị nhỏ nhất của biểu thức:

Đáp án đề thi thử THPT Quốc gia môn Toán






