Ôn thi Đại học môn Toán - Chuyên đề: Tích phân
Ôn thi Đại học, THPT Quốc gia môn Toán - Chuyên đề: Tích phân
Trong chương trình Toán lớp 12, chuyên đề tích phân là một trong những nội dung quan trọng của giải tích và thường xuyên xuất hiện trong các đề thi tốt nghiệp THPT. Các bài toán về tính tích phân, ứng dụng tích phân để tính diện tích hình phẳng, thể tích khối tròn xoay và các bài toán vận dụng cao đòi hỏi học sinh không chỉ nắm chắc công thức mà còn phải hiểu rõ phương pháp biến đổi và lựa chọn cách giải phù hợp.
Bài viết “Ôn thi Đại học môn Toán – Chuyên đề: Tích phân” được xây dựng nhằm hệ thống hóa toàn bộ kiến thức trọng tâm của chuyên đề này trong chương trình Toán 12. Nội dung bao gồm các dạng bài thường gặp cùng phương pháp giải chi tiết, giúp học sinh củng cố lý thuyết và nâng cao kỹ năng giải toán.
Tài liệu được biên soạn theo định hướng ra đề của Bộ Giáo dục và Đào tạo Việt Nam , giúp học sinh tiếp cận các dạng câu hỏi quen thuộc trong đề thi và rèn luyện khả năng xử lý bài toán một cách nhanh chóng, chính xác. Đây là nguồn tài liệu hữu ích cho quá trình luyện đề, ôn tập chuyên sâu và chuẩn bị cho kỳ thi THPT Quốc gia môn Toán.
VẤN ĐỀ 1: BIẾN ĐỔI VỀ TỔNG - HIỆU CÁC TÍCH PHÂN CƠ BẢN
A. PHƯƠNG PHÁP GIẢI
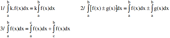
I. Sử dụng ba tính chất sau để biến đổi tích phân cần tính thành tổng - hiệu các tích phân cơ bản

II. Bảng nguyên hàm cơ bản


B. ĐỀ THI
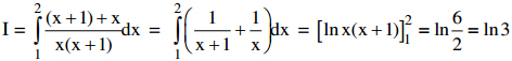
Bài 1: Cao đẳng khối A, B, D năm 2011
Tính tích phân: ![]()
Giải:

Bài 2: Cao đẳng khối A, B, D năm 2010

Giải:

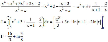
Bài 3: Cao đăng GTVT III khối A năm 2007
Tính tích phân sau: 
Giải:
Chia tử cho mẫu ta được:

VẤN ĐỀ 2: TÍNH TÍCH PHÂN BẰNG PHƯƠNG PHÁP ĐỔI BIẾN SỐ
A. PHƯƠNG PHÁP GIẢI
I. Đổi biến số loại 1

II. Đổi biến số loại 2

B. ĐỀ THI
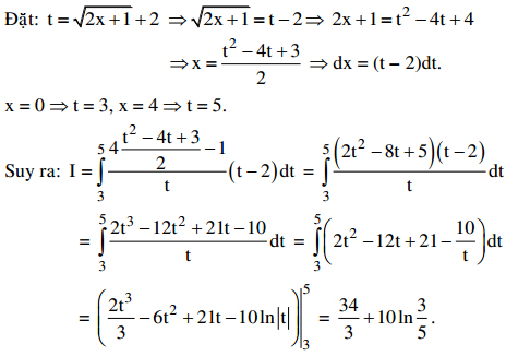
Bài 1: Tính tích phân: 
Hướng dẫn giải

Bài 2: Tính tích phân: 
Hướng dẫn giải

Bài 3: Tính tích phân: 
Hướng dẫn giải

(Còn tiếp)
------------------------------------------------------------
Chuyên đề tích phân đóng vai trò quan trọng trong phần giải tích của chương trình Toán 12 và thường xuất hiện trong nhiều dạng bài khác nhau của đề thi tốt nghiệp THPT. Khi nắm vững các công thức nguyên hàm – tích phân và luyện tập thường xuyên với nhiều dạng bài, học sinh sẽ nâng cao khả năng phân tích bài toán và lựa chọn phương pháp giải phù hợp.
Tài liệu “Ôn thi Đại học môn Toán – Chuyên đề: Tích phân” giúp hệ thống lại toàn bộ kiến thức trọng tâm cùng các dạng bài tiêu biểu trong quá trình ôn thi. Nội dung được xây dựng dựa trên định hướng ra đề của Bộ Giáo dục và Đào tạo Việt Nam , giúp học sinh làm quen với cấu trúc đề thi và cải thiện kỹ năng giải toán trắc nghiệm.
Việc kết hợp học lý thuyết với luyện tập có hệ thống sẽ giúp học sinh hiểu sâu bản chất của tích phân và nâng cao khả năng vận dụng vào nhiều dạng bài khác nhau. Đây là nguồn tài liệu hữu ích hỗ trợ quá trình luyện đề, tổng ôn và chinh phục điểm cao trong kỳ thi THPT Quốc gia môn Toán.