Đề thi thử đánh giá năng lực ĐHQGHN 2016: Tư duy định lượng (môn Toán)
Đề thi thử đánh giá năng lực ĐHQGHN 2016: Tư duy định lượng (môn Toán)
Bài thi Đánh giá năng lực được chia thành các phần bắt buộc và tự chọn, 140 câu hỏi tương ứng với 140 điểm và chưa tính hệ số, tỷ lệ điểm giữa các câu. Mời các bạn cùng tham khảo bài thi mẫu vào Đại học Quốc gia Hà Nội phần 1 tư duy đinh lượng (môn Toán) với 50 câu hỏi làm trong thời gian 80 phút, có lời giải chi tiết đi kèm.
Đề thi thử đánh giá năng lực ĐHQGHN 2016: Tư duy định tính
Đề thi thử đánh giá năng lực ĐHQGHN 2016: Khoa học xã hội
Đề thi minh họa của Đại học quốc gia Hà Nội 2016
Phần 1: Tư duy định lượng
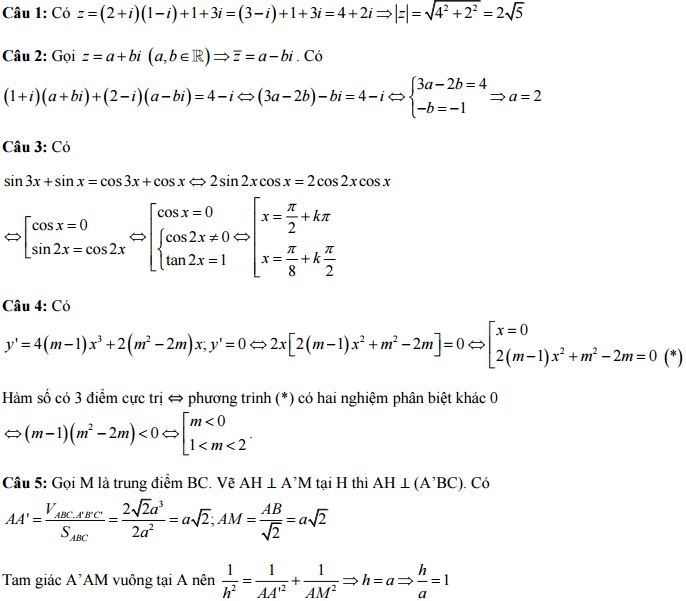
Câu 1. Cho số phức z = (2 + i)(1 − i) + 1 + 3i . Môđun của z là:
A. 2√5
B. √13
C. 4√2
D. 2√2
Câu 2: Cho z ∈ C thỏa mãn ![]()
Tìm phần thực của z.
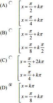
Câu 3. Phương trình sin3x + sinx = cos3x + cosx có nghiệm là:

Câu 4. Hàm số y = (m - 1)x4 + (m2 - 2m)x2 + m2 có ba điểm cực trị khi giá trị của m là:

Câu 5. Cho lăng trụ đứng ABC.A'B'C' có đáy là tam giác vuông cân cạnh AB = AC = 2a. Thể tích lăng trụ bằng 2√2a3. Gọi h là khoảng cách từ điểm A đến mặt phẳng (A'BC). Tìm tỷ số h/a.
Câu 6. Cho Cho số phức z thỏa mãn đẳng thức ![]()
Môđun của z là:
A. 2√2
B. √2
C. √5
D. √10
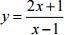
Câu 7. Cho hàm số
. Giá trị y'(0) bằng:
A. -1
B. -3
C. 0
D. 3
Câu 8. Phương trình log2(3x - 2) = 3 có nghiệm là:
A. 2
B. 10/3
C. 11/3
D. 3
(Còn tiếp)
Đề thi thử đánh giá năng lực ĐHQGHN 2016 môn Tiếng Anh
Đề thi thử đánh giá năng lực ĐHQGHN 2016 môn Tiếng Trung
Đề thi thử đánh giá năng lực ĐHQGHN 2016 môn Tiếng Pháp
Đề thi thử đánh giá năng lực ĐHQGHN 2016 môn Tiếng Nhật
Đáp án đề thi thử đánh giá năng lực ĐHQGHN 2016

Tuyển tập 20 đề thi thử THPT Quốc gia môn Toán năm 2016

Mời các bạn tải file đầy đủ về tham khảo!