Giao diện mới của VnDoc Pro: Dễ sử dụng hơn - chỉ tập trung vào lớp bạn quan tâm. Vui lòng chọn lớp mà bạn quan tâm: Lưu và trải nghiệm
Đóng
Điểm danh hàng ngày
  • Hôm nay +3
  • Ngày 2 +3
  • Ngày 3 +3
  • Ngày 4 +3
  • Ngày 5 +3
  • Ngày 6 +3
  • Ngày 7 +5
Bạn đã điểm danh Hôm nay và nhận 3 điểm!
Nhắn tin Zalo VNDOC để nhận tư vấn mua gói Thành viên hoặc tải tài liệu Hotline hỗ trợ: 0936 120 169

Đề thi thử đánh giá năng lực ĐHQGHN 2016: Khoa học tự nhiên

Loại File: PDF
Phân loại: Tài liệu Tính phí

Đề thi thử đánh giá năng lực ĐHQGHN 2016: Khoa học tự nhiên

Bài thi Đánh giá năng lực được chia thành các phần bắt buộc và tự chọn. Phần bắt buộc bao gồm: Tư duy định lượng 1 (kiến thức Toán học), Tư duy định tính 1 (kiến thức Ngữ văn). Với phần tự chọn, thí sinh chọn lựa thử sức với phần khoa học tự nhiên hoặc khoa học xã hội. Sau đây mời các bạn cùng tham khảo đề thi mẫu đánh giá năng lực ĐHQGHN 2016 phần Khoa học tự nhiên được VnDoc.com sưu tầm và đăng tải.

Đề thi thử đánh giá năng lực ĐHQGHN 2016: Tư duy định lượng (môn Toán)

Đề thi thử đánh giá năng lực ĐHQGHN 2016: Tư duy định tính

Đề thi thử đánh giá năng lực ĐHQGHN 2016: Khoa học xã hội

THI ĐÁNH GIÁ NĂNG LỰC
PHẦN 3 (A): KHOA HỌC TỰ NHIÊN (55 PHÚT)

ĐỀ THI MINH HỌA ĐÁNH GIÁ NĂNG LỰC ĐHQGHN NĂM 2016

III. KHOA HỌC TỰ NHIÊN

Câu 101. Cho bốn dung dịch muối: ZnCl2, AgNO3, CuSO4 và FeCl2. Kim loại nào sau đây tác dụng được với cả bốn dung dịch đó?

(A) Fe

(B) Al

(C) Ag

(D) Zn

Câu 102. Hai điện tích điểm q1, q2 đặt trong chân không, cách nhau một đoạn a. Nếu giảm khoảng cách giữa hai điện tích đi một đoạn 3 cm thì lực tương tác giữa chúng tăng lên 4 lần. Tính a.

(A) 4 cm

(B) 3cm

(C) 6 cm

(D) 9 cm

Câu 103. Trộn 8,4 gam bột Fe và 3,2 gam bột S, nung nóng hỗn hợp trong điều kiện không có không khí cho phản ứng xảy ra hoàn toàn. Sản phẩm thu được được hòa tan hoàn toàn trong dung dịch H2SO4 đặc nóng, thấy thoát ra V lít khí SO2 (đktc). Giá trị của V là:

(A) 7,28 lít

(B) 10,08 lít

(C) 11,76 lít

(D) 1,344 lít

Câu 104. Cho một dây dẫn điện được uốn thành vòng tròn bán kính R = 20cm. Dòng điện không đổi chạy trong dân dẫn có cường độ I = 10 A. Cường độ cảm ứng từ tại tâm vòng dây là bao nhiêu?

(A) π.10-5 T

(B) π.10-9 T

(C) π2.10-9 T

(D) π2.10-5 T

Câu 105. Đáp án nào dưới đây mô tả đầy đủ nhất về hệ sinh thái tự nhiên trên trái đất?

(A) Các hệ sinh thái nước ngọt, các hệ sinh thái cửa sông

(B) Các hệ sinh thái vùng triều, các hệ sinh thái biển khơi

(C) Các hệ sinh thái trên cạn, các hệ sinh thái dưới nước

(D) Các hệ sinh thái rừng, các hệ sinh thái nước mặn

Câu 106. Hỗn hợp X gồm axit hữu cơ no đơn chức, mạch hở A và một rượu no, đơn chức, mạch hở B. Biết MA = MB. Chia m gam hỗn hợp X thành hai phần bằng nhau. Phần I cho tác dụng với Na dư thu được 0,168 lít H2 (ở đktc). Đốt cháy hoàn toàn phần II rồi cho toàn bộ sản phẩm cháy vào bình đựng dung dịch Ba(OH)2 dư, thu được 7,88 gam kết tủa. Công thức cấu tạo thu gọn của A và B lần lượt là:

(A) HCOOH, C2H5OH

(B) C2H5COOH, C4H9OH

(C) CH3COOH, C3H7OH

(D) C3H7COOH, C5H11OH

(Còn tiếp)

Đề thi thử đánh giá năng lực ĐHQGHN 2016 môn Tiếng Anh

Đề thi thử đánh giá năng lực ĐHQGHN 2016 môn Tiếng Trung

Đề thi thử đánh giá năng lực ĐHQGHN 2016 môn Tiếng Pháp

Đề thi thử đánh giá năng lực ĐHQGHN 2016 môn Tiếng Nhật

Đề thi thử đánh giá năng lực ĐHQGHN 2016 môn Tiếng Nga

Đề thi thử đánh giá năng lực ĐHQGHN 2016 môn Tiếng Đức

Đáp án đề thi thử đánh giá năng lực ĐHQGHN 2016

Câu 101: B

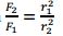
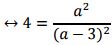
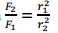
Câu 102:

Lực tương tác giữa 2 điện tích điểm Đáp án đề thi thử đánh giá năng lực ĐHQGHN 2016 phần khoa học tự nhiên

Vì E tỉ lệ nghịch với r2, nên Đáp án đề thi thử đánh giá năng lực ĐHQGHN 2016 phần khoa học tự nhiênĐáp án đề thi thử đánh giá năng lực ĐHQGHN 2016 phần khoa học tự nhiên

<=> a = 6

Chọn đáp án C

Câu 103: C

Fe → Fe+3 + 3e S+6 + 2e → S+4

0,15 -----> 0,45 1,05 --> 0,525

S → S+6 + 6e

0,1 ----> 0,6

n Fe = 0,15 mol, nS = 0,1 mol

==> bảo toàn e có ne nhận = ne cho = 0,15 . 3 + 0,1 . 6 = 1,05 mol

==> n SO2 = 0,525 mol ==> V SO2 = 11,76 l

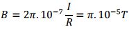
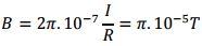
Câu 104:

Cường độ cảm ứng tại tâm vòng dây:

Đáp án đề thi thử đánh giá năng lực ĐHQGHN 2016 phần khoa học tự nhiên

Chọn đáp án A

Câu 105: Hệ sinh thái trên cạn và hệ sinh thái dưới nước mô tả bao quát nhất các hệ sinh thái tự nhiên trên trái đất

Đáp án C

Câu 106: C

Gọi công thức của A là CnH2nO2 và B là CmH2m+2O

Theo bài ra ta có MA = MB => 14n + 32 = 14m + 18 => m - n = 1 => m = n + 1

Gọi số mol của A và B lần lượt là x và y

nH2 = 0,075 mol

=> 0.5x + 0.5y = 0.0075 => x + y = 0.015

nCO2 = n kết tủa = 0.04

=> số nguyên tử cacbon trung bình = 0,04 : 0,015 = 2,67

Do m = n + 1 => n = 2 và m = 3

Mời các bạn tải file đầy đủ về tham khảo!

Chọn file muốn tải về:
Đóng Chỉ thành viên VnDoc PRO/PROPLUS tải được nội dung này!
Đóng
79.000 / tháng
Đặc quyền các gói Thành viên
PRO
Phổ biến nhất
PRO+
Tải tài liệu Cao cấp 1 Lớp
30 lượt tải tài liệu
Xem nội dung bài viết
Trải nghiệm Không quảng cáo
Làm bài trắc nghiệm không giới hạn
Mua cả năm Tiết kiệm tới 48%
Xác thực tài khoản!

Theo Nghị định 147/2024/ND-CP, bạn cần xác thực tài khoản trước khi sử dụng tính năng này. Chúng tôi sẽ gửi mã xác thực qua SMS hoặc Zalo tới số điện thoại mà bạn nhập dưới đây:

Số điện thoại chưa đúng định dạng!
Số điện thoại này đã được xác thực!
Bạn có thể dùng Sđt này đăng nhập tại đây!
Lỗi gửi SMS, liên hệ Admin
Sắp xếp theo
🖼️

Luyện thi đại học

Xem thêm
🖼️

Gợi ý cho bạn

Xem thêm