Đề thi thử THPT Quốc gia năm 2016 môn Toán trường THPT Triệu Sơn 1, Thanh Hóa (Lần 1)
Đề thi thử THPT Quốc gia 2016 môn Toán có đáp án
Đề thi thử THPT Quốc gia năm 2016 môn Toán trường THPT Triệu Sơn 1, Thanh Hóa (Lần 1) gồm 10 câu hỏi có đáp án đi kèm, đây là tài liệu ôn tập môn Toán hữu ích dành cho các bạn học sinh lớp 12, những bạn chuẩn bị bước vào kì thi THPT Quốc gia 2016, luyện thi Đại học, Cao đẳng khối A, B, D. Mời các bạn tham khảo.
Tuyển tập 20 đề thi thử THPT Quốc gia môn Toán năm 2016
|
SỞ GD & ĐT THANH HÓA TRƯỜNG THPT TRIỆU SƠN 1 |
THI THỬ KỲ THI TRUNG HỌC PHỔ THÔNG QUỐC GIA 2016Môn thi: TOÁN - Lần 1 Thời gian làm bài: 180 phút, không kể thời gian phát đề |
Câu 1 (1,0 điểm). Khảo sát sự biến thiên và vẽ đồ thị hàm số y = x4 - 2x2 + 1.
Câu 2 (1,0 điểm). Tìm giá trị lớn nhất và nhỏ nhất của hàm số
trên đoạn [2;5].
Câu 3 (1,0 điểm).
a) Giải phương trình cos2x - 3sinx - 2 = 0.
b) Giải bất phương trình
.
Câu 4 (1,0 điểm). Tìm số hạng chứa x3 trong khai triển nhị thức Niu - tơn của biểu thức
, x < 0. Trong đó n là số tự nhiên thỏa mãn A2n - 2C1n = 180.
Câu 5 (1,0 điểm). Trong không gian Oxyz, cho hình lăng trụ tam giác ABC.A'B'C' có A(1; 1; 1), B(1; 2; 1), C(1; 1; 2) và A'(2; 2; 1).
Tìm tọa độ các đỉnh B', C' và viết phương trình mặt cầu đi qua bốn điểm A, B, C, A'.
Câu 6 (1,0 điểm).
a) Cho
. Tính giá trị của biểu thức ![]()
b) Đội dự tuyển học sinh giỏi giải toán trên máy tính cầm tay môn toán của một trường phổ thông có 4 học sinh nam khối 12, 2 học sinh nữ khối 12 và 2 học sinh nam khối 11. Để thành lập đội tuyển dự thi học sinh giỏi giải toán trên máy tính cầm tay môn toán cấp tỉnh nhà trường cần chọn 5 em từ 8 em học sinh trên. Tính xác suất để trong 5 em được chọn có cả học sinh nam và học sinh nữ, có cả học sinh khối 11 và học sinh khối 12.
Câu 7 (1,0 điểm). Cho hình chóp S.ABCD có SA vuông góc với mặt đáy (ABCD), đáy ABCD là hình chữ nhật có AD = 3a, AC = 5a, góc giữa hai mặt phẳng (SCD) và (ABCD) bằng 450. Tính theo a thể tích khối chóp S.ABCD và tính góc giữa đường thẳng SD và mặt phẳng (SBC).
Câu 8 (1,0 điểm). Trong mặt phẳng tọa độ Oxy, cho hình thang ABCD vuông tại A, B và AD = 2BC. Gọi H là hình chiếu vuông góc của điểm A lên đường chéo BD và E là trung điểm của đoạn HD. Giả sử H(-1;3), phương trình đường thẳng
và . Tìm tọa độ các đỉnh A, B và D của hình thang ABCD.
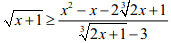
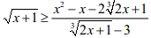
Câu 9 (1,0 điểm). Giải bất phương trình
trên tập hợp số thực.
Câu 10 (1,0 điểm). Cho a, b, c là các số thực không âm thỏa mãn a2b2 + c2b2 + 1 ≤ 3b. Tìm giá trị nhỏ nhất của biểu thức ![]()
Đáp án đề thi thử THPT Quốc gia môn Toán năm 2016
