Đề thi thử THPT Quốc gia năm 2016 môn Toán trường THPT Đoàn Thượng, Hải Dương (Lần 2)
Đề thi thử THPT Quốc gia năm 2016 môn Toán
Đề thi thử THPT Quốc gia năm 2016 môn Toán trường THPT Đoàn Thượng, Hải Dương (Lần 2) được VnDoc.com sưu tầm và đăng tải gồm 9 câu hỏi tự luận cùng đáp án đi kèm. Đây là đề luyện thi THPT Quốc gia hữu ích dành cho các bạn học sinh, giúp các bạn chuẩn bị tốt nhất cho kì thi THPT Quốc gia quan trọng sắp tới.
Đề thi thử THPT Quốc gia năm 2016 môn Toán trường THPT Đoàn Thượng, Hải Dương (Lần 1)
Đề thi thử THPT Quốc gia năm 2016 môn Toán trường THPT Đoàn Thượng, Hải Dương (Lần 3)
|
SỞ GD&ĐT HẢI DƯƠNG TRƯỜNG THPT ĐOÀN THƯỢNG ĐỀ CHÍNH THỨC |
ĐỀ THI THỬ THPT QUỐC GIA LẦN 2 NĂM 2016 MÔN THI: TOÁN Thời gian làm bài: 180 phút, không kể thời gian phát đề |
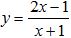
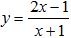
Câu 1 (2,0 điểm) Cho hàm số
.
a) Khảo sát sự biến thiên và vẽ đồ thị (C) của hàm số đã cho.
b) Xác định tọa độ giao điểm của đồ thị (C) với đường thẳng y = x + 7 và viết phương trình tiếp tuyến của (C) tại các giao điểm ấy.
Câu 2 (1,0 điểm)
a) Giải phương trình:
.
b) Giải bất phương trình: log3(x2 - 5x + 7) + log1/3(x - 1) ≥ 0.
Câu 3 (1,0 điểm)
a) Tìm các số phức
biết z = 1 + 2i.
b) Để tham gia hội thi "Khi tôi 18" do Huyện đoàn tổ chức vào ngày 26/03, Đoàn trường THPT Đoàn Thượng thành lập đội thi gồm có 10 học sinh nam và 5 học sinh nữ. Từ đội thi, Đoàn trường chọn 5 học sinh để tham gia phần thi tài năng. Tính xác suất để 5 học sinh được chọn có cả nam và nữ.
Câu 4 (1,0 điểm) Tính tích phân
.
Câu 5 (1,0 điểm) Trong không gian Oxyz, cho mặt phẳng (P) và mặt cầu (S) có phương trình lần lượt là x - 2y + 2z - 3 = 0; x2 + y2 + z2 - 2x + 4y - 4z - 16 = 0. Tìm tọa độ tâm và tính bán kính của mặt cầu (S). Viết phương trình mặt phẳng (α) song song với mặt phẳng (P) và tiếp xúc với mặt cầu (S).
Câu 6 (1,0 điểm) Cho hình chóp S.ABCD có đáy ABCD là hình thoi cạnh 2a, góc ABC = 60o, SA vuông góc với mặt phẳng (ABCD), góc giữa mặt bên (SCD) và mặt đáy (ABCD) bằng 45o. Tính thể tích khối chóp S.ABCD và góc giữa đường thẳng SB và mặt phẳng (SCD).
Câu 7 (1,0 điểm) Trong mặt phẳng với hệ tọa độ Oxy, cho hình chữ nhật ABCD có diện tích bằng 3√3, đỉnh D thuộc đường thẳng d: √3x - y = 0, góc ACB = 30o. Giao điểm của đường phân giác trong góc và đường cao của tam giác BCD kẻ từ C là điểm H(√3; 3). Tìm tọa độ các đỉnh B, D biết hoành độ của B và D đều nhỏ hơn √3.
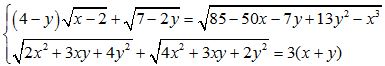
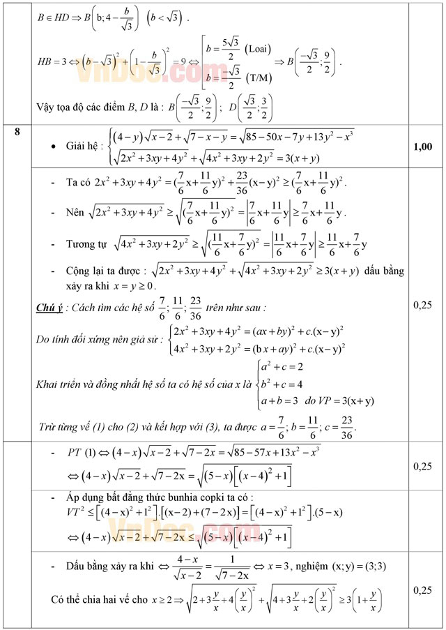
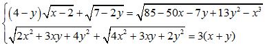
Câu 8 (1,0 điểm) Giải hệ 
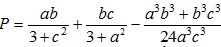
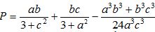
Câu 9 (1,0 điểm) Cho a, b, c là các số thực dương thỏa mãn a2 + b2 + c2 = 3. Tìm giá trị lớn nhất của biểu thức:
![]()
Đáp án đề thi thử THPT Quốc gia năm 2016 môn Toán




