Đề thi thử THPT Quốc gia năm 2016 môn Toán trường THPT Đoàn Thượng, Hải Dương (Lần 1)
Đề thi thử THPT Quốc gia năm 2016 môn Toán
Nhằm giúp các bạn học sinh thử sức trước kì thi THPT Quốc gia 2016 sắp tới, VnDoc.com xin giới thiệu Đề thi thử THPT Quốc gia năm 2016 môn Toán trường THPT Đoàn Thượng, Hải Dương (Lần 1), có đáp án kèm theo. Hi vọng tài liệu này giúp các bạn ôn thi tốt nghiệp, ôn thi đại học môn Toán hiệu quả hơn. Mời các bạn tham khảo.
Đề thi thử THPT Quốc gia năm 2016 môn Toán trường THPT Đoàn Thượng, Hải Dương (Lần 2)
Đề thi thử THPT Quốc gia năm 2016 môn Toán trường THPT Đoàn Thượng, Hải Dương (Lần 3)
Đề thi thử THPT Quốc gia năm 2016 môn Ngữ văn trường THPT Đoàn Thượng, Hải Dương (Lần 1)
Đề thi thử THPT Quốc gia môn Toán lần 3 năm 2015 trường THPT Đoàn Thượng, Hải Dương
|
SỞ GD&ĐT HẢI DƯƠNG TRƯỜNG THPT ĐOÀN THƯỢNG
ĐỀ CHÍNH THỨC |
ĐỀ THI THỬ THPT QUỐC GIA LẦN 1 NĂM HỌC 2015 - 2016 MÔN THI: TOÁN Thời gian làm bài: 180 phút, không kể thời gian phát đề |
Câu 1 (2,0 điểm) Cho hàm số x3 - 3x2 + 2.
a) Khảo sát sự biến thiên và vẽ đồ thị (C) của hàm số đã cho.
b) Viết phương trình tiếp tuyến với đồ thị (C) biết tiếp tuyến vuông góc với đường thẳng Δ có phương trình: x - 2016 = 0.
Câu 2 (1,0 điểm)
a) Giải phương trình: √3sin2x - cos2x = 4sinx - 1.
b) Giải bất phương trình: (9x+1 + 1)(3x + 1) ≤ 10.9x + 10.3x.
Câu 3 (1,0 điểm)
a) Cho số phức z thoả mãn điều kiện
. Tính môđun của z.
b) Tìm số hạng không chứa x trong khai triển nhị thức Niutơn
, x > 0.
Câu 4 (1,0 điểm) Tính diện tích hình phẳng giới hạn bởi đồ thị hàm số
và các trục tọa độ.
Câu 5 (1,0 điểm) Trong không gian Oxyz, cho mặt phẳng (P) có phương trình x - 2y + 2z - 3 = 0 và điểm M(1; -3; 1). Viết phương trình mặt cầu (S) có tâm là M và tiếp xúc với mặt phẳng (P). Tìm tọa độ tiếp điểm của mặt cầu (S) và mặt phẳng (P).
Câu 6 (1,0 điểm) Cho hình chóp S.ABCD có đáy ABCD là hình thang với đáy lớn là AD và AD = 2BC, SA vuông góc với mặt phẳng (ABCD), tam giác ACD vuông tại C và SA = AC = a√3, CD = a. Tính thể tích của khối chóp S.ABCD và khoảng cách giữa hai đường thẳng SB và CD.
Câu 7 (1,0 điểm) Trong mặt phẳng với hệ tọa độ Oxy, cho hình vuông ABCD có tâm I(3; -1), điểm M trên cạnh CD sao cho MC = 2MD. Tìm tọa độ các đỉnh của hình vuông ABCD biết đường thẳng AM có phương trình 2x - y - 4 = 0 và đỉnh A có tung độ dương.
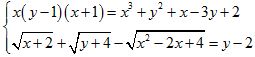
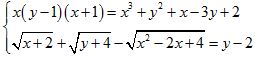
Câu 8 (1,0 điểm) Giải hệ phương trình 
Câu 9 (1,0 điểm) Cho x, y, z là các số thực dương thỏa mãn xy + yz + zx = 3. Tìm giá trị nhỏ nhất của biểu thức

Đáp án đề thi thử THPT Quốc gia năm 2016 môn Toán




