Đề thi thử THPT Quốc gia môn Toán năm 2016 trường THPT Trần Quang Khải (Lần 3)
Đề thi thử THPT Quốc gia 2016 môn Toán
Đề thi thử THPT Quốc gia môn Toán năm 2016 trường THPT Trần Quang Khải (Lần 3) được VnDoc.com sưu tầm và đăng tải, là tài liệu luyện tập và củng cố kiến thức môn Toán hữu ích dành cho các bạn thí sinh chuẩn bị bước vào kì thi THPT Quốc gia, xét tuyển Đại học, Cao đẳng khối A, khối B, khối D sắp tới.
Đề thi thử THPT Quốc gia năm 2016 môn Toán trường THPT Lê Lợi, Thanh Hóa
Đề thi thử THPT Quốc gia môn Toán năm 2016 trường THPT Phú Xuyên B, Hà Nội
Đề thi thử THPT Quốc gia năm 2016 môn Toán trường THPT Chuyên Hà Nội - Amsterdam
| Trường Trần Quang Khải |
Đề kiểm tra chuyên đề lớp 12 lần 3 Năm 2015 - 2016 Môn Toán Thời gian làm bài 180 phút |
Câu 1 (1,0 điểm). Khảo sát sự biến thiên và vẽ đồ thị hàm số y = x4 - 2x2 + 1.
Câu 2 (1,0 điểm). Tìm GTLN, GTNN của hàm số f(x) = -2x4 + 4x2 + 10 trên đoạn [0;2]
Câu 3 (1,0 điểm). Giải phương trình, bất phương trình:
a) √3sin2x - cos2x = 4sinx - 1
b) 2log3(x - 1) + log√3(2x - 1) 2
Câu 4 (1,0 điểm).
a) Cho số phức z thỏa mãn
. Tìm môđun của số phức z.
b) Gọi A là tập hợp tất cả các số tự nhiên gồm 4 chữ số phân biệt được chọn từ các chữ số 0; 1; 2; 3; 4; 5; 6. Chọn ngẫu nhiên một số từ tập A, tính xác suất để số chọn được là số chia hết cho 5.
Câu 5 (1,0 điểm). Tính tích phân 
Câu 6 (1,0 điểm). Cho hình chóp S.ABCD có đáy ABCD là hình vuông cạnh 2a, mặt phẳng (SAB) vuông góc với đáy, tam giác SAB cân tại S và SC tạo với đáy một góc 60o. Tính thể tích khối chóp S.ABCD và khoảng cách giữa hai đường thẳng BD và SA theo a.
Câu 7 (1,0 điểm). Trong không gian với hệ tọa độ Oxyz , cho hai điểm A(3;1;2), B(-1;-3;4) và mặt cầu (S): (x - 1)2 + (y - 2)2 + (z - 3)2 = 4. CMR mặt phẳng trung trực của đoạn thẳng AB tiếp xúc với mặt cầu (S). Xác định tọa độ của tiếp điểm.
Câu 8 (1,0 điểm). Trong mặt phẳng với hệ tọa độ Oxy, cho tam giác ABC vuông tại A. Gọi K là điểm đối xứng của A qua C. Đường thẳng đi qua K vuông góc với BC cắt BC tại E và cắt AB tại N(-1;3). Tìm tọa độ các đỉnh của tam giác ABC biết góc AEB = 45o, BK: 3x + y - 15 = 0 và điểm B có hoành độ lớn hơn 3.
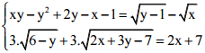
Câu 9 (1,0 điểm). Giải hệ phương trình: 
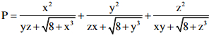
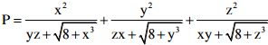
Câu 10 (1,0 điểm). Cho x, y, z là ba số thực dương thỏa mãn: x + Y + z ≥ 3. Tìm giá trị nhỏ nhất của biểu thức:

Đáp án đề thi thử THPT Quốc gia 2016 môn Toán
Câu 1:
- TXĐ: R
- Sự biến thiên
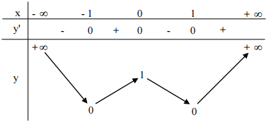
- Ta có: y' = 4x3 - 4x -> y' = 0 -> x = 0 và x = 1
- Hàm số nghịch biến trên các khoảng (-∞;-1),(0;1) và hàm đồng biến trên các khoảng (-1;0),(1;+∞)
- Bảng biến thiên

Câu 2:

Câu 3:

(Còn tiếp)