Đề thi thử THPT Quốc gia năm 2016 môn Toán trường THPT Lê Lợi, Thanh Hóa (Lần 2)
Đề thi thử THPT Quốc gia 2016 môn Toán
Đề thi thử THPT Quốc gia năm 2016 môn Toán trường THPT Lê Lợi, Thanh Hóa (Lần 2) có đáp án đi kèm, được VnDoc.com sưu tầm và đăng tải. Hy vọng, đây là tài liệu ôn tập hữu ích dành cho các bạn học sinh chuẩn bị bước vào kì thi THPT Quốc gia một cách tự tin và có kỹ năng làm bài cao.
Đề thi thử THPT Quốc gia môn Toán năm 2016 trường THPT Quốc Oai, Hà Nội
Đề thi thử THPT Quốc gia môn Toán năm 2016 trường THPT Phú Xuyên B, Hà Nội
Đề thi thử THPT Quốc gia môn Toán năm 2016 trường THPT Chuyên Nguyễn Huệ, Hà Nội
|
SỞ GD & ĐT THANH HÓA TRƯỜNG THPT LÊ LỢI Đề chính thức (Gồm có 01 trang) |
ĐỀ THI KSCL CÁC MÔN THI TỐT NGHIỆP THPT QUỐC GIA LẦN 2 NĂM HỌC 2015 - 2016 Môn: Toán – lớp 12 (Thời gian làm bài: 180 phút, không kể giao đề) |
Câu 1 (2,0 điểm): Cho hàm số ![]()
a) Khảo sát sự biến thiên và vẽ đồ thị (C) của hàm số.
b) Viết phương trình tiếp tuyến của đồ thị tại giao điểm của đồ thị với trục tung.
Câu 2(1,0 điểm):
a) Giải phương trình √2sin2x = 2cosx + 1 - √2sinx
b) Cho số phức z thỏa mãn
. Tìm mô đun của số phức ω = z - 10.
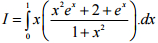
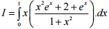
Câu 3 (1,0 điểm). Tính tích phân ![]()
Câu 4 (1,0 điểm).
a) Giải bất phương trình ![]()
b) Một tổ có 5 học sinh nam và 7 học sinh nữ. Giáo viên chọn ngẫu nhiên 4 học sinh để tham gia buổi trực nề nếp. Tính xác suất để 4 học sinh được chọn có cả nam và nữ.
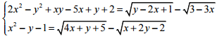
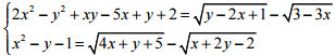
Câu 5: (1,0 điểm). Giải hệ phương trình 
Câu 6 (1,0 điểm). Cho hình chóp S.ABCD có đáy ABCD là hình chữ nhật với AB = a, SA ⊥ mp(ABCD), SC tạo với mp(ABCD) một góc 45o và SC 2a√2. Tính thể tích khối chóp S.ABCD và khoảng cách từ trọng tâm G của tam giác ABC đến mp(SCD) theo a.
Câu 7 (1,0 điểm). Trong mặt phẳng với hệ tọa độ Oxy, cho tam giác ABC vuông tại A. Gọi K là điểm đối xứng của A qua C. Đường thẳng đi qua K vuông góc với BC cắt BC tại E và cắt AB tại N(-1;3). Tìm tọa độ các đỉnh của tam giác ABC biết rằng góc AEB = 45o, phương trình đường thẳng BK là 3x + y - 15 = 0 và điểm B có hoành độ lớn hơn 3.
Câu 8: (1,0 điểm). Trong không gian với hệ toạ độ Oxyz, cho hai điểm A(-4;1;3), B(1;5;5) và đường thẳng .Viết phương trình mặt phẳng (P) đi qua A và vuông góc với đường thẳng d
. Tìm tọa độ điểm C thuộc d sao cho tam giác ABC có diện tích là SΔABC = 15/2.
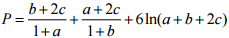
Câu 9: (1,0 điểm). Cho các số thực dương a, b, c thỏa mãn ab ≥ 1; c(a + b + c) ≥ 3.
Tìm giá trị nhỏ nhất của biểu thức ![]()
Đáp án đề thi thử THPT Quốc gia môn Toán năm 2016
Câu 1.a

Nhận xét: Đồ thị nhận giao điểm của 2 đường tiệm cận I(1 ;1) làm tâm đối xứng
Câu 1.b
Viết phương trình tiếp tuyến của đồ thị tại giao điểm của đồ thị với trục tung:
Đồ thị cắt Oy tại O(0;0)
- Gọi (d) là tiếp tuyến của đồ thị tại O, khi đó (d) có hệ số góc k xác định bởi k = y'(0) = -1.
- Phương trình tiếp tuyến (d) cần tìm là y = -1(x - 0) + 0 ↔ y = -x
Câu 2.a

Câu 2. b

(Còn tiếp)