Đề thi thử THPT Quốc gia năm 2016 môn Toán trường THPT Trung Giã, Hà Nội
Đề thi thử THPT Quốc gia 2016 môn Toán
Đề thi thử THPT Quốc gia năm 2016 môn Toán trường THPT Trung Giã, Hà Nội gồm 9 câu hỏi có đáp án đi kèm. Đây là đề thi thử hữu ích dành cho các bạn thí sinh chuẩn bị bước vào kì thi THPT Quốc gia, luyện thi Đại học, Cao đẳng 2016. Mời các bạn tham khảo.
Đề thi thử THPT Quốc gia năm 2016 môn Toán trường THPT Chuyên Khoa học Tự nhiên, Hà Nội
Đề thi thử THPT Quốc gia năm 2016 môn Toán trường THPT Marie Curie
Đề thi thử THPT Quốc gia năm 2016 môn Toán trường THPT Lương Thế Vinh, Hà Nội
|
TRƯỜNG THPT TRUNG GIÃ NĂM HỌC 2015 - 2016 ĐỀ THI THỬ |
KỲ THI THPT NĂM 2016 MÔN TOÁN Thời gian: 180 phút (không kể thời gian phát đề) |
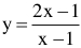
Câu 1 (2,0 điểm). Cho hàm số
(C)
a) Khảo sát sự biến thiên và vẽ đồ thị (C) của hàm số.
b) Viết phương trình tiếp tuyến của đồ thị (C) tại giao điểm của (C) và trục Oy.
Câu 2 (1,0 điểm).
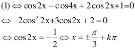
a) Giải phương trình: 2sin3xsinx + 2cos2x + 1 = 0.
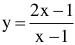
b) Cho số phức z thỏa mãn
Tìm z.
Câu 3 (1,0 điểm).
a) Giải bất phương trình log4x.log44x ≥ 2
b) Trong đợt tuyển chọn và gọi công dân nhập ngũ năm 2016, xã A tuyển chọn được 10 người trong đó có một người tên Hùng và một người tên Dũng. Xã A cần chọn ra từ đó 6 người để thực hiện nghĩa vụ quân sự đợt này. Tính xác suất của biến cố 6 người được chọn trong 10 người này không có mặt đồng thời cả Hùng và Dũng.
Câu 4 (1,0 điểm). Trong không gian với hệ trục tọa độ Oxyz, cho điểm I(1; –2; 3) và mặt phẳng (P): 2x – y – 2z – 1 = 0. Lập phương trình mặt cầu (S) tâm I tiếp xúc với (P) và tìm tọa độ tiếp điểm của (P) với (S).
Câu 5 (1,0 điểm). Tính tích phân ![]()
Câu 6 (1,0 điểm). Cho hình chóp S.ABCD có đáy ABCD là hình thang vuông tại A và B, AD = 3BC = 3√3a, AB = 2√2a, tam giác SAB đều nằm trong mặt phẳng vuông góc với mặt phẳng (ABCD). Tính thể tích khối chóp S.ABCD và góc tạo bởi đường thẳng SA với mặt phẳng (SCD).
Câu 7 (1,0 điểm). Trong mặt phẳng với hệ tọa độ Oxy, cho tam giác ABC vuông tại A, gọi H là hình chiếu vuông góc của A trên cạnh BC với H(0; –1), đường trung tuyến CM của tam giác CAH có phương trình x + 3y – 1 = 0, điểm B thuộc đường thẳng d: x – y – 5 = 0. Tìm tọa độ các đỉnh A, B, C biết hoành độ điểm A nguyên.
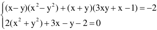
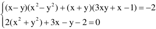
Câu 8 (1,0 điểm). Giải hệ phương trình: 
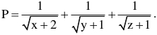
Câu 9 (1,0 điểm). Cho ba số thực x, y, z không âm thỏa mãn x2 + y2 + z2 = 1.
Tìm giá trị lớn nhất của biểu thức
Đáp án đề thi thử THPT Quốc gia môn Toán năm 2016
Câu 1. a:

Hàm số nghịch biến trên các khoảng (-∞; 1) và (1; ∞)
(Hàm số không có cực trị)
Câu 1.b:
Gọi A là giao điểm của đồ thị (C) và trục tung. Suy ra A(0;1)
y'(0) = -1
Phương trình tiếp tuyến của (C) tại điểm A(0;1) là y = y'(0)( x - 0) + 1
y = -x + 1
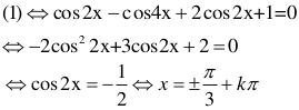
Câu 2. a:
a) Giải phương trình: 2sin3xsinx + 2cos2x + 1 = 0 (1).

b)

(Còn tiếp)