Đề thi thử THPT Quốc gia môn Toán năm 2016 trường THPT Quốc Oai, Hà Nội
Đề thi thử THPT Quốc gia môn Toán năm 2016
Đề thi thử THPT Quốc gia môn Toán năm 2016 trường THPT Quốc Oai, Hà Nội gồm 10 câu hỏi có đáp án đi kèm, là đề luyện thi THPT Quốc gia năm 2016 hữu ích dành cho các bạn thí sinh, giúp các bạn củng cố và nâng cao kỹ năng làm bài, từ đó, tự tin bước vào kì thi THPT Quốc gia sắp tới.
Đề thi thử THPT Quốc gia môn Toán năm 2016 trường THPT Phú Xuyên B, Hà Nội
Đề thi thử THPT Quốc gia môn Toán năm 2016 trường THPT Chuyên Nguyễn Huệ, Hà Nội
Đề thi thử THPT Quốc gia năm 2016 môn Toán trường THPT Chuyên Khoa học Tự nhiên, Hà Nội
|
SỞ GD & ĐT HÀ NỘI TRƯỜNG THPT QUÔC OAI |
ĐỀ THI THỬ THPT QUỐC GIA NĂM 2016 Môn thi: TOÁN Thời gian: 180 phút, không kể thời gian giao đề |
Câu 1 (1,0 điểm). Khảo sát sự biến thiên và vẽ đồ thị của hàm số y = x4 - 4x2.
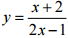
Câu 2 (1,0 điểm). Tìm m R để đường thẳng y = mx - 1 cắt đồ thị hàm số
tại hai điểm phân biệt.
Câu 3 (1,0 điểm).
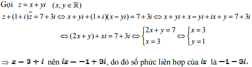
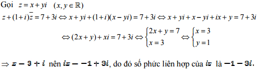
a) Tìm số phức liên hợp của số phức iz biết rằng z là số phức thỏa mãn ![]()
b) Giải bất phương trình 
Câu 4 (1,0 điểm). Tính tích phân ![]()
Câu 5. (1,0 điểm). Cho mặt cầu (S) có phương trình x2 + y2 + z2 - 6x - 2y - 4z - 5 = 0.
Gọi A là giao điểm của mặt cầu (S) với tia Oz. Tìm tọa độ điểm A và viết phương trình mặt phẳng tiếp xúc với mặt cầu (S) tại A.
Câu 6 (1,0 điểm).
a) Giải phương trình sinx + cosx = cos2x.
b) Một lớp học có 3 học sinh có năng khiếu ngâm thơ, 4 học sinh có năng khiếu múa và 5 học sinh có năng khiếu hát. Cần chọn 6 học sinh trong số đó để thành lập đội văn nghệ của lớp. Tính xác suất để 6 học sinh được chọn có đủ cả học sinh có năng khiếu múa, hát và ngâm thơ.
Câu 7 (1,0 điểm). Cho hình chóp S.ABCD có đáy ABCD là hình chữ nhật, AB = 2a, AD = a. Trên cạnh AB lấy điểm M sao cho AM = a/2, H là giao điểm của AC và MD. Biết SH vuông góc với mặt phẳng (ABCD) và SH = a. Tính thể tích khối chóp S.ADCM và khoảng cách giữa hai đường thẳng SD và AC theo a.
Câu 8 (1,0 điểm). Trong mặt phẳng Oxy cho hình thang ABCD vuông tại A và D có CD = 2AB = 2AD. Gọi E là điểm thuộc đoạn AB sao cho AB = 3AE. Điểm F thuộc BC sao cho tam giác DEF cân tại E. Biết E(2;4); phương trình của EF là 2x + y - 8 = 0; D thuộc đường thẳng d: x + y = 0 và điểm A có hoành độ nguyên thuộc đường thẳng d': 3x + y - 8 = 0. Tìm tọa độ các đỉnh của hình thang ABCD.
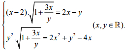
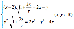
Câu 9 (1,0 điểm). Giải hệ phương trình 
Câu 10 (1,0 điểm). Cho x, y, z là các số thực không âm thỏa mãn xy + yz + xz = 1.
Tìm giá trị nhỏ nhất của biểu thức ![]()
Đáp án đề thi thử THPT Quốc gia môn Toán
Câu 1:

Câu 2:

Câu 3:

(Còn tiếp)