Đề thi thử THPT Quốc gia môn Toán năm 2016 trường THPT Chuyên Nguyễn Huệ, Hà Nội (Lần 2)
Đề thi thử THPT Quốc gia môn Toán trường THPT Chuyên Nguyễn Huệ
Đề thi thử THPT Quốc gia môn Toán năm 2016 trường THPT Chuyên Nguyễn Huệ, Hà Nội (Lần 2) có đáp án đi kèm, được VnDoc.com sưu tầm và đăng tải. Đây là đề luyện thi THPT Quốc gia hữu ích, giúp các bạn củng cố và nâng cao kỹ năng làm bài Toán, giúp các bạn chuẩn bị tốt nhất cho kỳ thi THPT Quốc gia sắp tới.
Tuyển tập 20 đề thi thử THPT Quốc gia môn Toán năm 2016
|
TRƯỜNG THPT CHUYÊN NGUYỄN HUỆ |
ĐỀ KHẢO SÁT CHẤT LƯỢNG LẦN 2 MÔN TOÁN NĂM HỌC 2015 - 2016 Thời gian làm bài: 180 phút, không kể thời gian phát đề |
Câu 1 (2,0 điểm).
a ) Khảo sát hàm số và vẽ đồ thị (C) của hàm số ![]()
b) Tìm tọa độ của điểm M trên (C) sao cho tiếp tuyến của (C) tại M song song với đường thẳng (d): 6x - y - 4 = 0
Câu 2 (1,0 điểm).
a). Cho hàm số y y = e-x(x2 - x - 1). Tính y'(ln1/2)
b) Giải bất phương trình sau 2log3(4x - 3) + log1/3(2x + 3) ≤ 2
Câu 3 (1,0 điểm). Tính tích phân ![]()
Câu 4 (1,0 điểm). Trong không gian Oxyz, cho mp(P) và mặt cầu (S) lần lượt có phương trình (P) : x - 2y + 2z + 1 = 0 và (S): x2 + y2 + z2 - 4x + 6y + 6z + 17 = 0. Chứng minh mặt cầu (S) cắt mặt phẳng (P). Tìm tọa độ tâm và bán kính của đường tròn giao tuyến của mặt cầu và mặt phẳng.
Câu 5 (1,0 điểm).
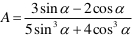
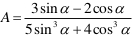
a) Cho tan α = 3. Tính ![]()
b) Cho đa giác đều 20 đỉnh nội tiếp đường tròn tâm O. Chọn ngẫu nhiên 4 đỉnh của đa giác đó.Tính xác suất sao cho 4 đỉnh được chọn là 4 đỉnh của một hình chữ nhật.
Câu 6 (1,0 điểm). Cho hình chóp S.ABC có mặt phẳng (SAC) vuông góc với mặt phẳng (ABC), SA = AB = a , AC = 2 a và
Tính thể tích khối chóp S.ABC và cosin của góc giữa hai mặt phẳng (SAB), (SBC).
Câu 7 (1,0 điểm). Trong mặt phẳng với hệ trục tọa độ Oxy, cho hình bình hành ABCD có
, trực tâm tam giác ABD là H(-1;0). Đường thẳng đi qua D và H có phương trình x - 3y + 1 = 0. Tìm tọa độ các đỉnh của hình bình hành biết điểm G(5/3;2) là trọng tâm tam giác ADC.
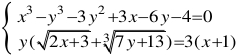
Câu 8 (1,0 điểm). Giải hệ phương trình sau 
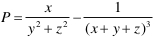
Câu 9 (1,0 điểm). Cho x, y, z > 0 và 5(x2 + y2 + z2) = 9(xy + 2xy + zx).
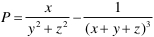
Tìm giá trị lớn nhất của biểu thức ![]()
Đáp án đề thi thử THPT Quốc gia môn Toán
Đề thi thử THPT Quốc gia năm 2016 môn Toán trường THPT Chuyên Nguyễn Huệ, Hà Nội (Lần 1)
Đề thi thử THPT Quốc gia năm 2016 môn Toán trường THPT Chuyên Hà Nội - Amsterdam
Đề thi thử THPT Quốc gia năm 2016 môn Toán trường THPT Marie Curie
Câu 1.a

Câu 1.b
Đường thẳng 6x – y – 4 = 0 có hệ số góc bằng 6.
Gọi M 0 (x0;y0) là điểm mà tại đó tiếp tuyến song song đường thẳng
6x - y - 4 = 0 → f '(x0) = 6
3x20 - 3x0 = 6
→ x0 = -1; x0 = 2
Với x0 = 2 -> y0 = 5/2 -> M0(2;5/2)
x0 = -1 -> y0 = -2 -> M0(-1;-2)
Kiểm tra lại
M0(2,5/2) tiếp tuyến tại M0 có pt là y = 6(x - 2) + 5/2 (nhận)
M0(-1;-2) -> tiếp tuyến tại M0 có pt là y = 6(x + 1) - 2 = 6x + 4 (nhận)
(Còn tiếp)