Đề thi thử THPT Quốc gia năm 2016 môn Toán trường THPT Chuyên Khoa học Tự nhiên, Hà Nội (Lần 3)
Đề thi thử THPT Quốc gia năm 2016 môn Toán
Đề thi thử THPT Quốc gia năm 2016 môn Toán trường THPT Chuyên Khoa học Tự nhiên, Hà Nội (Lần 3) là đề thi thử đại học môn Toán có đáp án đi kèm. Đây là tài liệu ôn tập môn Toán hữu ích dành cho các bạn học sinh lớp 12, các bạn thí sinh tự do luyện đề thi thử nhằm chuẩn bị bước vào kì thi THPT Quốc gia, luyện thi Đại học, Cao đẳng 2016. Mời các bạn tham khảo.
Đề thi thử THPT Quốc gia năm 2016 môn Toán trường THPT Chuyên Khoa học Tự nhiên, Hà Nội (Lần 4)
Đề thi thử THPT Quốc gia năm 2016 môn Toán trường THPT Marie Curie
| TRƯỜNG ĐẠI HỌC KHOA HỌC TỰ NHIÊN TRƯỜNG THPT CHUYÊN KHTN Đề thi gồm 01 trang |
ĐỀ THI THỬ THPT QUỐC GIA 2016 LẦN 3 Môn thi: TOÁN Thời gian: 180 phút |
Câu 1 (1,0 điểm). Khảo sát sự biến thiên và vẽ đồ thị của hàm số
.
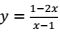
Câu 2 (1,0 điểm). Tìm giá trị lớn nhất và giá trị nhỏ nhất của hàm số
.
Câu 3 (1,0 điểm).
a) Cho số phức z thỏa mãn
. Tìm mô đun của z.
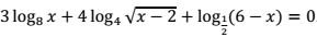
b) Giải phương trình trên tập số thực
.
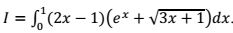
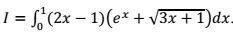
Câu 4 (1,0 điểm). Tính tích phân
.
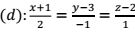
Câu 5 (1,0 điểm). Trong không gian với hệ tọa độ Oxyz, cho điểm E(2,4,5), mặt phẳng (P): x - 2y + 2z + 6 = 0 và đường thẳng
. Tìm điểm M trên đường thẳng (d) sao cho khoảng cách từ M tới mặt phẳng (P) bằng EM.
Câu 6 (1,0 điểm).
a) Tính giá trị của biểu thức
biết tana = √2.
b) Một lớp học có 18 học sinh nam và 12 học sinh nữ. Cần chọn một ban chấp hành chi đoàn gồm có 3 người trong đó có một bí thư, một phó bí thư và một ủy viên. Tính xác suất để chọn được một ban chấp hành mà bí thư và phó bí thư không cùng giới tính.
Câu 7 (1,0 điểm). Cho hình chóp S.ABCD có đáy là hình vuông cạnh a√2, tam giác SAC vuông tại S và nằm trong mặt phẳng vuông góc với đáy, SA = a. Tính theo a thể tích của khối chóp S.ABCD và khoảng cách giữa hai đường thẳng SD và BC.
Câu 8 (1,0 điểm). Trong mặt phẳng với hệ tọa độ Oxy, cho tam giác ABC có các đường cao AD, BE và nội tiếp đường tròn tâm I(5;4). Tìm tọa độ các đỉnh của tam giác ABC biết D(4;4), E(6;5) và đỉnh C thuộc đường thẳng x - 2y - 2 = 0.
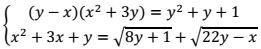
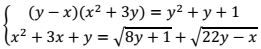
Câu 9 (1,0 điểm). Giải hệ phương trình trên tập số thực.
![]()
Câu 10 (1,0 điểm). Cho a, b, c là các số thực dương thỏa mãn a2 + ab + b2 = c(a + b + c). Tìm giá trị lớn nhất của biểu thức.
![]()
Đáp án đề thi thử THPT Quốc gia năm 2016 môn Toán




