Đề thi thử THPT Quốc gia môn Toán năm 2016 trường THPT Phú Xuyên B, Hà Nội (Lần 1)
Đề thi thử THPT Quốc gia 2016 môn Toán
Đề thi thử THPT Quốc gia môn Toán năm 2016 trường THPT Phú Xuyên B, Hà Nội (Lần 1) gồm 8 câu hỏi có đáp án đi kèm. Đây là đề luyện thi THPT Quốc gia môn Toán hữu ích dành cho các bạn học sinh, giúp các bạn luyện tập và củng cố kiến thức môn Toán hiệu quả.
Đề thi thử THPT Quốc gia môn Toán năm 2016 trường THPT Chuyên Nguyễn Huệ, Hà Nội
Đề thi thử THPT Quốc gia năm 2016 môn Toán trường THPT Chuyên Khoa học Tự nhiên, Hà Nội
Đề thi thử THPT Quốc gia năm 2016 môn Toán trường THPT Chuyên Hà Nội - Amsterdam
|
TRƯỜNG THPT PHÚ XUYÊN B HÀ NỘI |
ĐỀ THI THỬ THPT QUỐC GIA NĂM 2016 lần1 Môn : TOÁN Thời gian làm bài: 120 phút |
I. PHẦN CHUNG (Cho học sinh tất cả các lớp)
Câu 1 (3.0 điểm). Cho hàm số
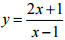
(1)
a) Khảo sát sự biến thiên và vẽ đồ thị ( C) của hàm số (1).
b) Gọi M là giao điểm của (C) và Ox. Viết phương trình tiếp tuyến với (C) tại M.
Câu 2 (1.0 điểm). Giải các phương trình sau:
a) 3x + 1 - 18.3-x = 25, (x ∈ R)
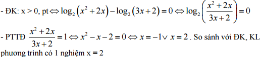
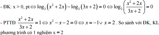
b) log2(x2 + 2x) + log1/2(3x + 2) = 0, (x ∈ R)
Câu 3 (1.0 điểm).
a) Tính giá trị biểu thức: ![]()
b) Giải bóng đá PXB cup chào mừng ngày thành lập Đoàn TNCS Hồ Chí Minh có 9 đội bóng lọt vào vòng chung kết sau khi đá sơ loại, trong đó có 3 đội bóng khối 12. Ban tổ chức bốc thăm ngẫu nhiên để chia thành 3 bảng A, B, C (mỗi bảng 3 đội). Tính xác suất để 3 đội bóng của khối 12 ở ba bảng khác nhau.
Câu 4 (1.0 điểm). Tính tích phân: 
Câu 5 (1.0 điểm). Cho hình chóp đều S.ABC có SA = 2a, AB = a. Gọi M là trung điểm cạnh BC. Tính theo a thể tích khối chóp S.ABC và khoảng cách từ M đến mp(SAB).
Câu 6 (1.0 điểm). Trong không gian Oxyz cho mặt phẳng (P): 2x + 3y + z – 11 = 0. Viết phương trình mặt phẳng (Q) đi qua điểm I(1; -2; 1), song song với trục Oy và vuông góc với mp(P). Tính khoảng cách từ Oy đến mp(Q).
II. PHẦN RIÊNG
A. Cho học sinh các lớp từ 12A4 đến 12A12
Câu 7A (1.0 điểm). Trong mặt phẳng Oxy cho tam giác ABC có đỉnh A(1; 2), đường trung tuyến BM: 2x + y + 1 = 0 và đường phân giác trong CD: x + y - 1 = 0. Viết phương trình đường thẳng BC.
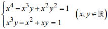
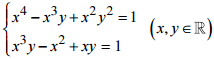
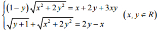
Câu 8A (1.0 điểm). Giải hệ phương trình: 
B. Cho học sinh các lớp từ 12A1 đến 12A3
Câu 7B (1.0 điểm). Trong mp tọa độ Oxy, cho tam giác ABC nhọn, có đỉnh A(-1; 4), trực tâm H. Đường thẳng AH cắt cạnh BC tại M. Đường thẳng CH cắt cạnh AB tại N. Tâm đường tròn ngoại tiếp tam giác HMN là I(2; 0). Đường thẳng BC đi qua P(1; -2). Tìm tọa độ các đỉnh B, C của tam giác, biết B thuộc đường thẳng d: x + 2y – 2 = 0.
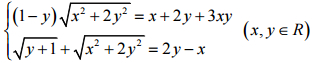
Câu 8B (1.0 điểm). Giải hệ phương trình: 
Đáp án đề thi thử THPT Quốc gia môn Toán 2016
Câu 1.a
- Tập xác định: 0,25đ
- Tính được đạo hàm: y': 0,25đ
- Chiều biến thiên: 0,25đ
- Tính các giới hạn: 0,25đ
- Bảng biến thiên: 0,5đ
- Chính xác hóa đồ thị: 0,25đ
- Vẽ đồ thị: 0,25đ
Câu 1.b

Câu 2.a

Câu 2.b

Câu 3.a

Câu 3.b

(Còn tiếp)