Đề thi thử THPT Quốc gia năm 2016 môn Toán trường THPT Trần Hưng Đạo, Đăk Nông (Lần 2)
Đề thi thử THPT Quốc gia 2016 môn Toán
Đề thi thử THPT Quốc gia môn Toán năm 2016 trường THPT Trần Hưng Đạo, Đăk Nông (Lần 2) có 10 câu hỏi và đáp án, hướng dẫn làm bài đi kèm, giúp các bạn học sinh ôn tập THPT Quốc gia môn Toán hiệu quả. Mời các bạn tham khảo.
Đề thi thử THPT Quốc gia năm 2016 môn Toán trường THPT Trần Hưng Đạo, Đăk Nông (Lần 1)
Bộ đề thi thử THPT Quốc gia năm 2016 môn Toán
|
SỞ GIÁO DỤC VÀ ĐÀO TẠO ĐĂK NÔNG TRƯỜNG THPT TRẦN HƯNG ĐẠO
ĐỀ CHÍNH THỨC |
KỲ THI THỬ THPT QUỐC GIA NĂM 2016Môn thi: TOÁN Thời gian làm bài: 180 phút, không kể thời gian giao đề Lần thứ II, Ngày thi: 28/12/2015 |
Câu 1.(1,0 điểm) Khảo sát và vẽ đồ thị hàm số y = x3 - 3x2 + 1 (C)

Câu 6.(1 điểm)
a) Giải phương trình: 2 cos5x.cos3x + sin x = cos8x
b) Trong một hộp kín đựng 2 viên bi đỏ, 5 viên bi trắng và 7 viên bi vàng. Lấy ngẫu nhiên 4 viên bi, tìm xác suất để 4 viên bi lấy ra không có đủ cả ba màu.
Câu 7.(1 điểm) Cho hình chóp S.ABC có SA vuông góc với mặt phẳng (ABC), SA = 8a, tam giác ABC đều cạnh bằng 4a; M, N lần lượt là trung điểm của cạnh SB và BC. Tính theo a thể tích hình chóp S.ABC và khoảng cách từ điểm B đến mặt phẳng (AMN).

Đáp án đề thi thử THPT Quốc gia năm 2016 môn Toán
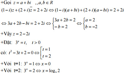
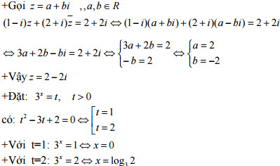
Câu 1:

Câu 2:

Câu 3:

(Còn tiếp)