Đề thi thử THPT Quốc gia năm 2016 môn Toán trường THPT Trần Hưng Đạo, Đăk Nông (Lần 1)
Đề thi thử THPT Quốc gia 2016 môn Toán
Đề thi thử THPT Quốc gia năm 2016 môn Toán trường THPT Trần Hưng Đạo, Đăk Nông (Lần 1) được VnDoc.com sưu tầm và đăng tải, là tài liệu ôn tập môn Toán hữu ích dành cho các bạn học sinh lớp 12, những bạn chuẩn bị bước vào kì thi THPT Quốc gia. Mời các bạn tham khảo.
Các chuyên đề luyện thi THPT Quốc gia 2016 môn Toán
|
SỞ GIÁO DỤC VÀ ĐÀO TẠO ĐĂK NÔNG TRƯỜNG THPT TRẦN HƯNG ĐẠO
ĐỀ CHÍNH THỨC |
KỲ THI THỬ THPT QUỐC GIA NĂM 2016Môn thi: TOÁN Thời gian làm bài: 180 phút, không kể thời gian giao đề Lần thứ 1. Ngày thi: 17/11/2015 |
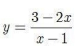
Câu 1. (2,0 điểm) Cho hàm số ![]()
a) Khảo sát sự biến thiên và vẽ đồ thị (C) của hàm số.
b) Viết phương trình tiếp tuyến của (C) biết tiếp tuyến song song với đường thẳng Δ: y = -x + 1
Câu 2. (1,0 điểm)
a) Giải phương trình: (sinx + cosx)2 = 1 + cosx.
b) Tìm số phức liên hợp của số phức z thỏa mãn 3z + 9 = 2i.z + 11i.
Câu 3. (0,5 điểm) Giải phương trình: log1/2 (x2 + 5) + 2log2 (x + 5) = 0
Câu 4. (0,5 điểm) Một tổ gồm 9 học sinh nam và 3 học sinh nữ. Cần chia tổ đó thành 3 nhóm, mỗi nhóm 4 học sinh để đi làm 3 công việc trực nhật khác nhau. Tính xác suất để khi chia ngẫu nhiên ta được mỗi nhó có đúng 1 nữ.
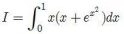
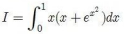
Câu 5. (1,0 điểm) Tính tích phân: ![]()
Câu 6. (1,0 điểm) Cho khối chóp S.ABC có SA vuông góc với mặt đáy (ABC), tam giác ABC vuông cân tại B, SA = a, SB hợp với đáy một góc 300. Tính thể tích của khối chóp S.ABC và tính khoảng cách giữa AB và SC.
Câu 7. (1,0 điểm) Trong không gian Oxyz, cho 3 điểm A(4, -4, 3), B(1, 3, -1). Viết phương trình mặt cầu (S) đi qua các điểm A, B, C và cắt hai mặt phương (α): x + y + z + 2 = 0 và (β): x - y - z - 4 = 0 theo hai giao tuyến là hai đường tròn có bán kính bằng nhau.
Câu 8. (1,0 điểm) Trong mặt phẳng tọa độ Oxy, cho hình chữ nhật ABCD có hình chiếu của B lên AC là E(5,0), trung điểm AE và CD lần lượt là F(0,2), I (3/2, -3/2). Viết phương trình đường thẳng CD.
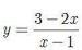
Câu 9. (1,0 điểm) Giải bất phương trình: ![]()
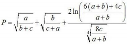
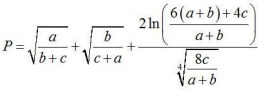
Câu 10. (1,0 điểm) Cho a, b, c > 0 và thỏa mãn: c = min {a, b, c}. Tìm Giá trị nhỏ nhất của biểu thức:

Đáp án đề thi thử THPT Quốc gia môn Toán năm 2016
Câu 1:



(Còn tiếp)