Đề thi thử THPT Quốc gia năm 2016 môn Toán trường THPT Lương Ngọc Quyến, Thái Nguyên (Lần 1)
Đề thi thử THPT Quốc gia 2016 môn Toán
Đề thi thử THPT Quốc gia năm 2016 môn Toán trường THPT Lương Ngọc Quyến, Thái Nguyên (Lần 1) gồm 10 câu hỏi có đáp án đi kèm, là tài liệu ôn tập THPT Quốc gia môn Toán năm 2016 hữu ích dành cho các bạn học sinh, giúp các bạn chuẩn bị tốt nhất cho bài thi sắp tới.
260 bài toán phương trình và hệ phương trình trong ôn thi đại học
|
SỞ GD&ĐT THÁI NGUYÊN TRƯỜNG THPT |
ĐỀ THI THỬ THPT QUỐC GIA LẦN 1 NĂM 2016MÔN: TOÁN Thời gian làm bài: 180 phút (không kể thời gian phát đề) |
Câu 1 (1,0 điểm). Khảo sát sự biến thiên và vẽ đồ thị hàm số: y = -(1/4)4 + 2x2 - 3
Câu 2 (1,0 điểm). Tìm giá trị lớn nhất, giá trị nhỏ nhất của hàm số f(x) = x2 - 4lnx trên đoạn [e]
Câu 3 (1,0 điểm). Giải các phương trình sau:
![]()
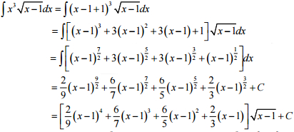
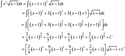
Câu 4 (1,0 điểm). Tìm họ nguyên hàm sau:
![]()
Câu 5 (1,0 điểm). Trong không gian với hệ tọa độ Oxyz, cho mặt phẳng (P): x - y + 2z + 4 = 0 và mặt cầu (S): x2 + y2 + z2 - 2x - 6y + 4z = 11. Viết phương trình mặt phẳng (Q) song song với mặt phẳng (P) và tiếp xúc với mặt cầu (S).
Câu 6 (1,0 điểm).
a) Giải phương trình sau: sin3x - sinx + cos2x = 1.
b) Trong giải bóng đá nữ của trường THPT Lương Ngọc Quyến có 12 đội tham gia, trong đó có hai đội của hai lớp 12A6 và 10A3. Ban tổ chức giải tiến hành bốc thăm ngẫu nhiên để chia thành hai bảng A và B, mỗi bảng 6 đội. Tính xác suất để hai đội 12A6 và 10A3 ở cùng một bảng.

Câu 8 (1,0 điểm). Trong mặt phẳng với hệ tọa độ Oxy, cho tam giác nhọn ABC. Đường trung tuyến kẻ từ đỉnh A và đường thẳng BC lần lượt có phương trình: 3x + 5y - 8 = 0, x - y - 4 = 0. Đường thẳng qua A và vuông góc với cạnh BC cắt đường tròn ngoại tiếp tam giác ABC tại điểm thứ hai là D(4;-2). Viết phương trình các đường thẳng AB và AC. Biết hoành độ điểm B không lớn hơn 3.
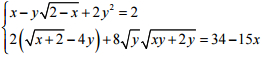
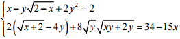
Câu 9 (1,0 điểm). Giải hệ phương trình:

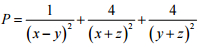
Câu 10 (1,0 điểm). Cho các số dương x, y, z thỏa mãn x > y và (x + z)(y + z) = 1. Tìm giá trị nhỏ nhất của biểu thức:
![]()
Đáp án đề thi thử THPT Quốc gia môn Toán năm 2016
Câu 1 (1 điểm)

Câu 2 (1 điểm)

Câu 3 (1 điểm)
Câu 4 (1 điểm)

(Còn tiếp)