Bộ 10 đề thi thử THPT Quốc gia môn Toán năm 2016
Bộ đề thi thử THPT Quốc gia môn Toán năm 2016
Bộ 10 đề thi thử THPT Quốc gia môn Toán năm 2016 gồm 10 đề thi thử đại học môn Toán được VnDoc.com sưu tầm và đăng tải, nhằm kiếm tra kiến thức môn Toán. Đây là tài liệu ôn thi THPT Quốc gia hữu ích dành cho các bạn học sinh, mời các bạn tham khảo.
Tuyển tập 20 đề thi thử THPT Quốc gia môn Toán năm 2016
Đề thi thử THPT Quốc gia năm 2016 môn Toán trường THPT Thanh Chương 1, Nghệ An (Lần 1)
Đề thi thử đại học môn Toán 01
Câu 1 (2 điểm): Cho hàm số: y = x3 - 3x - 4 có đồ thị là (C).
a) Khảo sát sự biến thiên và vẽ đồ thị hàm số.
b) Viết phương trình tiếp tuyến với (C) biết tiếp tuyến đồng quy với hai đường thẳng y = x - 4; y = -x.
Câu 2 (1 điểm):
a) Giải phương trình
.
b) Tìm số phức z:
.
Câu 3 (0.5 điểm): Giải bất phương trình x2 + log2(x2 - 6x + 9) > x - (x + 1)log1/2(3 - x).
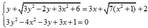
Câu 4 (1 điểm): Giải hệ phương trình
.
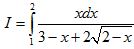
Câu 5 (1 điểm): Tính tích phân
.
Câu 6 (1 điểm): Cho hình hộp ABCD.A1B1C1D1 có đáy là hình vuông tâm O, cạnh bên AA1 = a; A1O vuông góc với đáy và C1D hợp với (ACA1) góc φ có cotφ = √5. Tính thể tích khối hộp và tính diện tích mặt cầu ngoại tiếp tứ diện A1BCB1.
Câu 7 (1 điểm): Trong mặt phẳng toạ độ cho tam giác ABC vuông tại A, AC = 2AB, phương trình phân giác trong góc A: x + 2y + 1 = 0, C(3;3). Tìm toạ độ A, B.
Câu 8 (1 điểm): Trong không gian toạ độ Oxyz, cho hai mặt phẳng (P): x - 2y + z = 0, (Q): y - z + 2 = 0 và điểm A(1;-1;0). Viết phương trình đường thẳng d qua A, vuông góc giao tuyến của (P), (Q); d cắt (P) và (Q) tại M, N thoả AM = AN.
Câu 9 (0.5 điểm): Chọn ngẫu nhiên một số tự nhiên có 9 chữ số khác nhau và khác 0. Tính xác suất để chọn được số có 3 chữ số chẵn và có đúng hai chữ số chẵn đứng kề nhau.
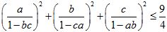
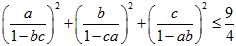
Câu 10 (1 điểm): Cho các số thực không âm a, b, c thay đổi và thoả mãn a2 + b2 + c2 = 1. Chứng minh rằng:
.
Đề thi thử đại học môn Toán 02
Câu 1 (2 điểm): Cho hàm số: y = -1/3x3 + x2 - 2/3 có đồ thị là (C).
a) Khảo sát sự biến thiên và vẽ đồ thị hàm số.
b) Viết phương trình tiếp tuyến với (C) tại giao điểm với đường thẳng (d): y = 1 - x.
Câu 2 (1 điểm):
a) Giải phương trình
.
b) Cho số phức z thoả mãn
. Tìm tập hợp điểm biểu diễn của số phức z': |z' - z| = |z - i|.
Câu 3 (0.5 điểm): Giải bất phương trình
.
Câu 4 (1 điểm): Giải phương trình:
.
Câu 5 (1 điểm): Tính tích phân
.
Câu 6 (1 điểm): Cho lăng trụ tam giác đều ABC.A'B'C' có khoảng cách (AA',BC') = a, góc giữa hai mặt phẳng (A'BC) và (AA'C'C) bằng 600. Tính theo a thể tích khối lăng trụ đã cho và diện tích mặt cầu ngoại tiếp tứ diện MABC, với M là trung điểm A'B'.
Câu 7 (1 điểm): Trong mặt phẳng toạ độ Oxyz, cho đường thẳng d: x - 2y + 2 = 0 và đường tròn (T): x2 + y2 - 2x + 4y + 1 = 0. Viết phương trình đường thẳng d' qua O, cắt d tại A và cắt (T) tại B, C sao cho B là trung điểm AC.
Câu 8 (1 điểm): Trong không gian toạ độ Oxyz, cho mặt phẳng (P): x - 2y + z = 0 và điểm A(1;-1;0). Viết phương trình đường thẳng d nằm trong (P), đi qua hình chiếu của A trên (P) và tạo với trục hoành góc 600.
Câu 9 (0.5 điểm): Cho số nguyên dương n thoả mãn:
![]()
Tìm hệ số của sau khi khai triển
.
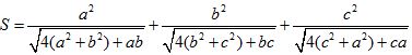
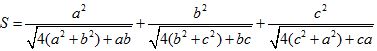
Câu 10 (1 điểm): Cho các số thực dương a, b, c thay đổi và thoả mãn a + b + c = 3. Tìm GTNN của biểu thức:
