Đề thi thử THPT Quốc gia năm 2016 môn Toán trường THPT Thanh Chương 1, Nghệ An (Lần 1)
Đề thi thử THPT Quốc gia năm 2016 môn Toán
Đề thi thử THPT Quốc gia năm 2016 môn Toán trường THPT Thanh Chương 1, Nghệ An (Lần 1) có đáp án đi kèm được VnDoc.com sưu tầm và đăng tải. Đây là tài liệu ôn thi THPT Quốc gia 2016 và luyện thi đại học môn Toán năm 2016 hữu ích dành cho các bạn thí sinh. Mời các bạn tham khảo.
Tuyển tập 20 đề thi thử THPT Quốc gia môn Toán năm 2016
|
SỞ GD & ĐT NGHỆ AN TRƯỜNG THPT THANH CHƯƠNG 1 |
ĐỀ THI THỬ THPT QUỐC GIA LẦN 1 NĂM 2016 Môn: TOÁN Thời gian làm bài: 180 phút, không kể thời gian phát đề |
Câu 1 (1,0 điểm). Khảo sát sự biến thiên và vẽ đồ thị của hàm số y = -x3 + 3x2 - 2.
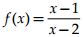
Câu 2 (1,0 điểm). Viết phương trình tiếp tuyến của đồ thị của hàm số
(C) tại giao điểm của đồ thị (C) với trục Ox .
Câu 3 (1,0 điểm).
a) Cho số phức z thỏa mãn (z - i)(1 - 2i) - 1 - 3i = 0. Tìm môđun của số phức z.
b) Giải bất phương trình log2(x + 1) - log1/2(x - 2) ≥ 2.
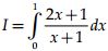
Câu 4 (1,0 điểm). Tính tích phân
.
Câu 5 (1,0 điểm). Trong không gian với hệ tọa độ Oxyz, cho điểm A(2; -1; 0) và mặt phẳng (P): x - 2y + z + 2 = 0. Lập phương trình mặt cầu (S) đi qua A và có tâm I là hình chiếu vuông góc của điểm A trên mặt phẳng (P).
Câu 6 (1,0 điểm).
a) Tính giá trị của biểu thức P = 5sinα.sin 2α + cos2α, biết cosα = 3/5.
b) Để bảo vệ Đại hội Đảng toàn quốc lần thứ XII diễn ra từ ngày 20 đến 28 tháng 01 năm 2016, Bộ Công an thành lập 5 đội bảo vệ, Bộ Quốc phòng thành lập 7 đội bảo vệ. Ban tổ chức chọn ngẫu nhiên 5 đội thường trực để bảo vệ tại Trung tâm Hội nghị Quốc gia Mỹ Đình (nơi diễn ra Đại hội). Tính xác suất để trong 5 đội được chọn có ít nhất 1 đội thuộc Bộ Công an, ít nhất 1 đội thuộc Bộ Quốc phòng.
Câu 7 (1,0 điểm). Cho hình chóp S.ABC có đáy ABC là tam giác đều cạnh a. Hình chiếu vuông góc của đỉnh S trên mặt phẳng (ABC) là điểm H thuộc cạnh BC sao cho HC = 2HB, góc giữa SA với mặt đáy (ABC) bằng 450. Tính theo a thể tích khối chóp S.ABC và khoảng cách giữa hai đường thẳng SC và AB.
Câu 8 (1,0 điểm). Trong mặt phẳng với hệ tọa độ Oxy, cho hình vuông ABCD có tâm I. Các điểm G(10/3; 11/3), E(3; -2/3) lần lượt là trọng tâm của tam giác ABI và tam giác ADC. Xác định tọa độ các đỉnh của hình vuông ABCD, biết tung độ đỉnh A là số nguyên.
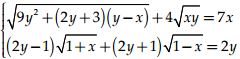
Câu 9 (1,0 điểm). Giải hệ phương trình
trên tập số thực.
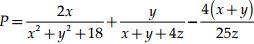
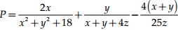
Câu 10 (1,0 điểm). Cho x, y, z là các số thực dương x + y + z2 = xy + 5. Tìm giá trị lớn nhất của biểu thức ![]()
Đáp án đề thi thử THPT Quốc gia năm 2016 môn Toán
Đề thi thử THPT Quốc gia năm 2015 môn Toán trường THPT Thanh Chương 3, Nghệ An
Đề thi thử THPT Quốc gia năm 2016 môn Toán trường THPT Lê Lợi, Thanh Hóa (Lần 1)



