Đề thi thử THPT Quốc gia năm 2015 môn Toán trường THPT Thanh Chương 3, Nghệ An
Đề thi thử THPT Quốc gia 2016 môn Toán
Đề thi thử THPT Quốc gia năm 2015 môn Toán trường THPT Thanh Chương 3, Nghệ An có đáp án kèm theo được VnDoc.com giới thiệu tới các bạn, nhằm giúp các bạn thử sức trước kì thi Quốc gia 2016 và ôn luyện thi THPT qua các đề mẫu của các trường. Hi vọng tài liệu này giúp các bạn đạt kết quả cao trong kì thi tới. Mời các bạn tham khảo.
Bộ đề thi thử THPT Quốc gia năm 2016 môn Toán - Số 1
Bộ đề thi thử THPT Quốc gia năm 2016 môn Toán - Số 2
Bộ đề thi thử THPT Quốc gia năm 2016 môn Vật Lý
|
SỞ GD&ĐT NGHỆ AN TRƯỜNG THPT THANH CHƯƠNG III |
ĐỀ THI THỬ THPT QUỐC GIA NĂM 2015Môn: TOÁN Thời gian làm bài: 180 phút, không kể thời gian giao đề |
Câu 1 (2,0 điểm). Cho hàm số y = -x3 + 3mx + 1 (1).
a) Khảo sát sự biến thiên và vẽ đồ thị của hàm số (1) khi m = 1.
b) Tìm m để đồ thị của hàm số (1) có 2 điểm cực trị A, B sao cho tam giác OAB vuông tại O (với O là gốc tọa độ).
Câu 2 (1,0 điểm). Giải phương trình sin2x + 1 = 6sinx + cos2x.
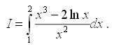
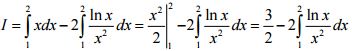
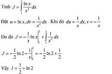
Câu 3 (1,0 điểm). Tính tích phân

Câu 4 (1,0 điểm).
a) Giải phương trình 52x+1 - 6.5x + 1 = 0.
b) Một tổ có 5 học sinh nam và 6 học sinh nữ. Giáo viên chọn ngẫu nhiên 3 học sinh để làm trực nhật. Tính xác suất để 3 học sinh được chọn có cả nam và nữ.

Câu 6 (1,0 điểm). Cho hình chóp có tam giác vuông tại A, AB = AC = a, I là trung điểm của SC, hình chiếu vuông góc của S lên mặt phẳng (ABC) là trung điểm của BC, mặt phẳng (SAB) tạo với đáy 1 góc bằng 60o. Tính thể tích khối chóp và tính khoảng cách từ điểm I đến mặt phẳng (SAB) theo a.
Câu 7 (1,0 điểm). Trong mặt phẳng với hệ toạ độ Oxy cho tam giác ABC có A(1;4), tiếp tuyến tại A của đường tròn ngoại tiếp tam giác ABC cắt BC tại D, đường phân giác trong của góc ADB có phương trình x - y + 2 = 0, điểm M(-4;1) thuộc cạnh AC. Viết phương trình đường thẳng AB.

Đề thi thử THPT Quốc gia năm 2015 môn Toán trường THPT Triệu Sơn 3, Thanh Hóa
Đề thi thử THPT Quốc gia môn Hóa học lần 3 năm 2015 trường THPT Hàn Thuyên, Bắc Ninh
Đề thi thử THPT Quốc gia môn Ngữ văn lần 1 năm 2016 trường THPT Hàn Thuyên, Bắc Ninh
Đáp án đề thi thử THPT Quốc gia môn Toán năm 2016
Câu 1 (2,0 điểm)
a. (1,0 điểm)
Với m = 1 hàm số trở thành y = -x3 + 3x + 1
TXĐ: D = R
y' = -3x2 + 3; y' = 0 ↔ x = ±1
Hàm số nghịch biến trên các khoảng (-∞;-1) và (1;+∞) , đồng biến trên khoảng (-1;1).
Hàm số đạt cực đại tại x = 1, yCD = 3, đạt cực tiểu tại x = -1, yCT = -1.
| lim y | = -∞ | , | lim y | +∞ |
| x→+∞ | x→-∞ | |||
Bảng biến thiên

Đồ thị

b. (1,0 điểm)
y' = -3x2 + 3m = -3(x2 - m)
y' = 0 <=> x2 - m = 0 (*)
Đồ thị hàm số (1) có 2 điểm cực trị <=> PT (*) có 2 nghiệm phân biệt <=> m > 0 (**)
Khi có 2 điểm cực trị A(-√m;1-2m√m), B(√m;1+2m√m)
Tam giác OAB vuông tại O <=> OA.OB = 0 <=> 4m3 + m - 1 = 0 <=> m = 1/2 (TM (**))
Vậy M = 1/2
Câu 2 (1,0 điểm)
sin2x + 1 = 6sinx + cos2x
<=> (sin2x - 6sinx) + (1 - cos2x) = 0
<=> 2sinx(cosx - 3) + 2sin2x = 0
<=> 2sinx(cosx - 3 + sinx) = 0
<=> sin x = 0 hoặc sinx + cosx = 3 (Vn)
<=> x = kπ
Vậy nghiệm của PT là x = kπ, k ϵ Z.
Câu 3 (1,0 điểm)

