Đề thi thử THPT Quốc gia môn Toán tỉnh Đăk Nông năm 2015
Đề thi thử THPT Quốc gia môn Toán
Đề thi thử THPT Quốc gia môn Toán tỉnh Đăk Nông năm 2015 được VnDoc.com sưu tầm và đăng tải, gồm 9 câu hỏi có đáp án chi tiết, giúp các bạn học sinh ôn tập và luyện thi THPT Quốc gia 2016 hiệu quả, mời các bạn tham khảo.
Bộ đề thi thử THPT Quốc gia năm 2016 môn Toán
Bộ 10 đề thi thử THPT Quốc gia môn Toán năm 2016
260 bài toán phương trình và hệ phương trình trong ôn thi đại học
|
SỞ GIÁO DỤC VÀ ĐÀO TẠO TỈNH ĐĂK NÔNG ĐỀ CHÍNH THỨC |
KỲ THI KHẢO SÁT LỚP 12 NĂM HỌC 2014 - 2015Môn: TOÁN Thời gian làm bài: 180 phút; (không kể thời gian giao đề) |
![]()
1. Khảo sát sự biến thiên và vẽ đồ thị (C) của hàm số.
2. Viết phương trình tiếp tuyến của (C), biết tiếp tuyến có hệ số góc k =1.

Bài 3. (1.0 điểm) Trong không gian với hệ tọa độ Oxyz cho điểm M (1; -2; 3) và mặt phẳng (P) có phương trình x - 2y + 2z - 5 = 0.
1. Tính khoảng cách từ điểm M đến mặt phẳng (P).
2. Viết phương trình mặt phẳng (Q) đi qua điểm M và song song với mặt phẳng (P).
Bài 4. (1.0 điểm) Cho lăng trụ đứng ABC.A' B' C', có đáy ABC là tam giác vuông cân tại B. Biết AB cm = 3 , BC' cm = 3√2 cm.
1. Tính thể tích của khối lăng trụ đã cho;
2. Tính góc hợp bởi đường thẳng BC' và mp (ACC'A').
![]()
Bài 6. (1.0 điểm) Với các chữ số của tập hợp {0; 1; 2; 3; 4; 5}, viết được bao nhiêu số tự nhiên gồm 5 chữ số, trong đó có hai chữ số 1, ba chữ số còn lại khác nhau từng đôi và khác 1.
Bài 7. (1.0 điểm) Trong mặt phẳng tọa độ Oxy, lấy các điểm A(√2; √2), B(2√2;0) và C(√2; -√2). Các đường thẳng (d1) và (d2) cùng đi qua gốc tọa độ và hợp với nhau góc 45o. Biết rẳng (d1) cắt đoạn AB tại M và (d2) cắt đoạn BC tại N. Khi tam giác OMN có diện tích bé nhất, hãy tìm M và viết phương trình các đường thẳng (d1) và (d2).

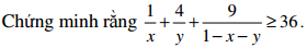
Bài 9. (1.0 điểm) Với các số dương x và y có tổng bé hơn 1.
![]()
Đáp án đề thi thử THPT Quốc gia môn Toán
Bài 1:

(Còn tiếp)