Đề thi giữa học kì 2 môn Toán lớp 12 trường THPT Hiệp Bình, Hồ Chí Minh năm 2014 - 2015
Đề thi giữa học kì 2 môn Toán lớp 12 có đáp án
Đề thi giữa học kì 2 môn Toán lớp 12 trường THPT Hiệp Bình, Hồ Chí Minh năm 2014 - 2015 gồm 4 câu hỏi có đáp án đi kèm, là tài liệu ôn tập môn Toán hữu ích dành cho các bạn học sinh lớp 12, giúp các bạn ôn tập và củng cố kiến thức môn Toán hiệu quả.
Đề thi giữa học kì 2 môn Toán lớp 12 trường THPT Phan Văn Trị, Cần Thơ năm học 2015 - 2016
Đề thi học kì 2 môn Toán lớp 12 tỉnh Quảng Bình năm học 2014 - 2015
TRƯỜNG THPT HIỆP BÌNH
ĐỀ KIỂM TRA GIỮA HỌC KỲ II – NĂM HỌC 2014 – 2015
MÔN TOÁN – KHỐI 12
Thời gian: 90 phút <không kể thời gian phát đề>
Câu 1. (2 điểm) Cho hàm số
![]()
a) Khảo sát sự biến thiên và vẽ đồ thị hàm số .
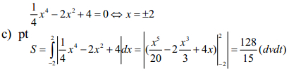
b) Tính diện tích hình phẳng giới hạn bởi đồ thị (C) và đường thẳng y = 0.
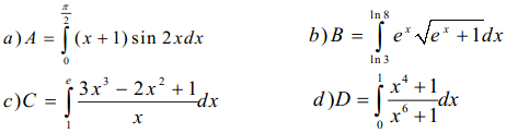
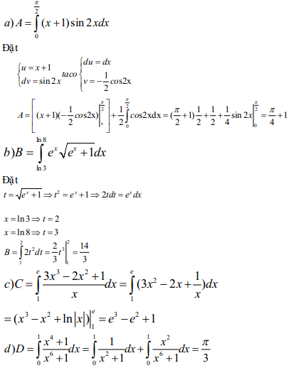
Câu 2. (4 điểm) Tính các tích phân sau:

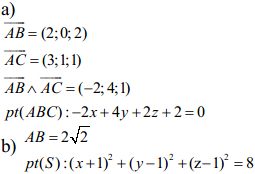
Câu 3. (1,5 điểm) Trong không gian với hệ tọa độ Oxyz, cho các điểm A (-1;-1;0), B(1;-1;2) C(2;-2-1), D(-1;1;1)
a) Viết phương trình mặt phẳng
b) Viết phương trình mặt cầu (S) tâm D , có bán kính bằng độ dài đoạn AB

a) Viết phương trình đường thẳng qua A và vuông góc với mặt phẳng (P).
b) Tìm tọa độ điểm H là hình chiếu của A lên mặt phẳng (P). Từ đó suy ra tọa độ điểm A' đối xứng với A qua mặt phẳng (P).
c) Lập phương trình mặt cầu (S) bán kính bằng 1, có tâm thuộc đường thẳng d và tiếp xúc với mặt phẳng (P).
Đáp án đề thi giữa học kì 2 môn Toán lớp 12
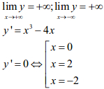
Câu 1:
a) TXĐ: D = R

Bảng biến thiên
Hàm số đồng biến trên và
Hàm số nghịch biến trên và
Hàm số đạt cực đại tại x=0 ; y = 4.
Hàm số đạt cực tiểu tại ;y = 0
Đồ thị

Câu 2:

Câu 3

Câu 4
