Đề kiểm tra học kì II môn Toán lớp 12 - Sở GD và ĐT Đà Nẵng
Đề thi học kì 2 môn Toán lớp 12
Đề thi học kì 2 lớp 12 môn Toán dưới đây là Đề kiểm tra học kì II môn Toán lớp 12 - Sở GD và ĐT Đà Nẵng là đề thi học kì 2 lớp 12 môn Toán có kèm đáp án. VnDoc.com xin được gửi đến các bạn học sinh và thầy cô giáo tham khảo, làm tài liệu ôn tập, đề tự kiểm tra kiến thức, trình độ bản thân, rèn luyện cách trình bày và tư duy logic, chuẩn bị tốt hơn cho kì thi cuối học kì 2 môn Toán lớp 12.
Đề thi học kì 2 môn Toán lớp 12 năm 2016 thành phố Đà Nẵng
Ôn thi Đại học môn Toán - Chuyên đề: Hình học giải tích trong không gian Oxyz
Đề cương ôn tập giải tích môn Toán lớp 12 học kì 2
Đề thi học kì 2 môn Toán lớp 12 tỉnh Quảng Bình năm học 2014 - 2015
|
SỞ GIÁO DỤC VÀ ĐÀO TẠO (Đề thi chính thức) |
KIỂM TRA HỌC KÌ II Thời gian: 90 phút (không kể thời gian giao đề) |
I- PHẦN CHUNG CHO TẤT CẢ THÍ SINH (5,0 điểm).
Câu 1 (2,5 điểm). Tính các tích phân sau:

Câu 2 (2,5 điểm).
Trong mặt phẳng tọa độ Oxy, cho hình phẳng (H) giới hạn bởi trục hoành và đường cong y = -x3 + 2x2.
1) Tính diện tích hình phẳng (H).
2) Tính thể tích khối tròn xoay được tạo thành khi quay hình phẳng (H) quanh trục Ox.
II- PHẦN RIÊNG - PHẦN TỰ CHỌN (5,0 điểm)
Thí sinh chỉ được làm một trong hai phần (phần 1 hoặc phần 2).
1- Theo chương trình Chuẩn
Câu 3.a (2,0 điểm).
1) Giải phương trình trên tập số phức i(z + 1) - 5 + z = 0.
2) Tìm số phức z, biết z + 2z + 3 - 2i = 0.
Câu 4.a (3,0 điểm).
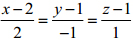
Trong không gian với hệ tọa độ Oxyz, cho điểm I (1;1;3) và đường thẳng (d) có phương trình
. Gọi H là hình chiếu vuông góc của I lên đường thẳng (d).
1) Viết phương trình mặt phẳng (P) chứa I và vuông góc với đường thẳng (d).
2) Tìm tọa độ điểm H.
3) Viết phương trình mặt cầu có tâm là I và cắt đường thẳng (d) tại hai điểm A, B sao cho diện tích của tam giác IAB bằng 
2- Theo chương trình Nâng cao
Câu 3.b (2,0 điểm).
1) Giải phương trình trên tập số phức z(z - i) = -3
2) Viết dạng lượng giác của số phức z biết:
và một acgumen của 
Câu 4.b (3,0 điểm).
Trong không gian với hệ tọa độ Oxyz, cho điểm I (1; 1; -3) và mặt phẳng (P) có phương trình x + y - z + 1 = 0. Gọi (S) là mặt cầu có tâm là I và tiếp xúc với mặt phẳng (P) tại điểm A.
1) Viết phương trình đường thẳng (d) qua I và vuông góc với mặt phẳng (P).
2) Tìm tọa độ tiếp điểm A.
3) Viết phương trình mặt phẳng (Q), biết rằng mặt phẳng (Q) song song với mặt phẳng (P) và cắt mặt cầu (S) theo một đường tròn có chu vi bằng 6π.
Đáp án đề thi học kì 2 môn Toán lớp 12
Đề thi thử THPT Quốc gia năm 2017 môn Toán trường THPT Lê Hồng Phong, Hà Tĩnh lần 1
Đề thi thử THPT Quốc gia năm 2017 môn Toán trường THPT Hồng Lĩnh, Hà Tĩnh lần 1
Đề thi thử THPT Quốc gia năm 2017 môn Toán trường THPT chuyên Đại học Vinh lần 2
Đề thi thử THPT Quốc gia năm 2017 môn Toán - Thành phố Hà Nội (Có đáp án)
|
SỞ GIÁO DỤC VÀ ĐÀO TẠO THÀNH PHỐ ĐÀ NẴNG |
KIỂM TRA HỌC KÌ II NĂM HỌC 2010 - 2011 |
HƯỚNG DẪN CHẤM MÔN TOÁN LỚP 12
I. PHẦN CHUNG CHO TẤT CẢ THÍ SINH (5,0 điểm)


1. Theo chương trình Chuẩn
