Giao diện mới của VnDoc Pro: Dễ sử dụng hơn - chỉ tập trung vào lớp bạn quan tâm. Vui lòng chọn lớp mà bạn quan tâm: Lưu và trải nghiệm
Đóng
Điểm danh hàng ngày
  • Hôm nay +3
  • Ngày 2 +3
  • Ngày 3 +3
  • Ngày 4 +3
  • Ngày 5 +3
  • Ngày 6 +3
  • Ngày 7 +5
Bạn đã điểm danh Hôm nay và nhận 3 điểm!
Nhắn tin Zalo VNDOC để nhận tư vấn mua gói Thành viên hoặc tải tài liệu Hotline hỗ trợ: 0936 120 169

Đề kiểm tra giữa học kì 1 môn Vật lý lớp 10 năm học 2014 - 2015 trường THPT Gia Định, TP. Hồ Chí Minh

Lớp: Lớp 10
Môn: Vật Lý
Dạng tài liệu: Đề thi
Loại File: PDF
Phân loại: Tài liệu Tính phí

Đề kiểm tra giữa học kì 1 môn Vật lý lớp 10

Đề kiểm tra giữa học kì 1 môn Vật lý lớp 10 năm học 2014 - 2015 trường THPT Gia Định, TP. Hồ Chí Minh là đề khảo sát chất lượng giữa học kì 1 dành cho quý thầy cô và các bạn học sinh tham khảo. Đề thi môn Vật lý có kèm đáp án, giúp các bạn học sinh củng cố kiến thức, ôn thi học kì 1 môn Lý lớp 10 hiệu quả.

Đề kiểm tra giữa học kì 1 môn Ngữ văn lớp 10 năm học 2014 - 2015 trường THPT Gia Định, TP. Hồ Chí Minh

Bài tập vật lý lớp 10: Các nguyên lý nhiệt động lực học

THPT GIA ĐỊNH

KIỂM TRA GIỮA HỌC KỲ I. NK 2014 -2015

Môn: Vật lý. Thời gian: 45 phút

Khối 10 - Ban A và A1

A) PHẦN CHUNG : Cho tất cả học sinh khối 10

Câu 1: (1,5 điểm)

Sự rơi tự do là gì? Nêu các đặc điểm của chuyển động rơi tự do (phương, chiều và tính chất chuyển động).

Câu 2: (1,5 điểm)

Chuyển động tròn đều là gì? Viết công thức tính độ lớn gia tốc trong chuyển động tròn đều (có nêu tên của các đại lượng trong công thức). Giải thích tại sao gia tốc trong chuyển động tròn đều được gọi là gia tốc hướng tâm?

Câu 3: (1,5 điểm)

Một vật được thả rơi từ độ cao 45 m so với mặt đất. Lấy g = 10 m/s2. Hãy tính vận tốc của vật khi nó vừa chạm đất và độ cao của vật so với mặt đất sau khi vật rơi được 0,5 s.

Câu 4: (1,5 điểm)

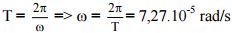
Cho bán kính Trái Đất là 6400 km. Xem chuyển động tự quay quanh trục của Trái Đất là tròn đều với chu kỳ là 24 giờ. Hãy tính tốc độ góc của Trái Đất (ra đơn vị rad/s) và gia tốc hướng tâm của một điểm trên xích đạo Trái Đất (ra đơn vị m/s2).

Câu 5: (2 điểm)

Biết nước sông chảy với vận tốc có độ lớn 5 m/s so với bờ, vận tốc của thuyền trong nước không chảy luôn có độ lớn là 46,8 km/h. Tính độ lớn vận tốc của thuyền so với bờ trong các trường hợp sau:

a) Thuyền chạy xuôi theo dòng nước.

b) Thuyền chạy ngược dòng nước.

c) Thuyền qua sông sao cho vận tốc của thuyền đối với bờ có hướng vuông góc với bờ.

B) PHẦN RIÊNG: Học sinh phải làm đúng phần riêng dành cho lớp mình.

Phần 1: Dành cho các lớp 10A4-10A5-10A6-10A8.1-10A9.1-10A10.1-10AT.1

Câu 6: (2 điểm)

Trên một đường thẳng có hai xe chuyển động cùng chiều. Xe I chuyển động nhanh dần đều với gia tốc có độ lớn 0,4 m/s2 và khi đi qua điểm A nó có tốc độ 7,2 km/h. Cùng lúc với xe I qua A, xe II chuyển động thẳng đều đi qua A với tốc độ 72 km/h.

a) Sau bao lâu kể từ lúc cùng đi qua A hai xe lại gặp nhau. Vị trí gặp nhau cách A một đoạn bao nhiêu?

b) Sau bao lâu kể từ lúc cùng đi qua A hai xe có vận tốc bằng nhau.

Phần 2: Dành cho các lớp 10CT-10CH-10A1-10A2-10A3-10A7.1

Câu 6: (2 điểm)

Trên một đường thẳng có hai xe chuyển động cùng chiều. Xe I chuyển động nhanh dần đều với gia tốc có độ lớn 0,4 m/s2 và khi đi qua điểm A nó có tốc độ 7,2 km/h. Cùng lúc với xe I qua A, xe II chuyển động thẳng đều đi qua A với tốc độ 72 km/h.

a) Sau bao lâu kể từ lúc cùng đi qua A hai xe lại gặp nhau. Vị trí gặp nhau cách A một đoạn bao nhiêu?

b) Xác định khoảng cách giữa hai xe tại thời điểm chúng có vận tốc bằng nhau.

Đáp án đề kiểm tra giữa học kì 1 môn Vật lý lớp 10

A) PHẦN CHUNG: Cho tất cả học sinh khối 10

Câu 1: (1,5 điểm)

  • Sự rơi của vật trong chân không dưới tác dụng của trọng lực
  • Vật rơi tự do chuyển động theo phương thẳng đứng, theo chiều từ trên xuống
  • Vật rơi tự do chuyển động nhanh dần đều không vận tốc đầu với gia tốc a = g gọi là gia tốc rơi tự do

Câu 2: (1,5 điểm)

  • Chuyển động trên quĩ đạo là đường tròn với vận tốc có độ lớn không đổi theo thời gian.
  • a = v2/R ( hoặc a = ω2R); v: tốc độ dài, ω: tốc độ góc, R bán kính quĩ đạo
  • Gia tốc trong chuyển động tròn đều có phương bán kính, có chiều hướng tâm nên được gọi là gia tốc hướng tâm

Câu 3: (1,5 điểm)

  • 2gh = v2 => v = 2gh = 30 m/s
  • s = 1/2 gt2 = 1,25 m
  • 3 h' = h – s = 43,75 m

Câu 4: (1,5 điểm)

a = ω2R = 0,0338 m/s2

Câu 5: (2 điểm)

a) Khi thuyền chạy xuôi theo dòng nước: vt = vt/n + vn = 18 m/s

b) Khi thuyền chạy ngược dòng nước: vt = vt/n - vn = 8 m/s

c) Khi thuyền có vt ⊥ vn: vt = vt/n + vn => vt/n = vt - vn => hình vẽ véc tơ

B) PHẦN RIÊNG:

Phần 1: Dành cho các lớp 10A4-10A5-10A6-10A8.1-10A9.1-10A10.1-10AT.1

Câu 6: (2 điểm)

a) Gốc tọa độ tại A, chiều dương là chiều chuyển động của xe, gốc thời gian lúc hai xe đi qua A

Viết được: x1 = 2t + 0,2t2 (m,s)

x2 = 20t (m,s)

Khi hai xe gặp nhau: x1 = x2 => 2t + 0,2t2 = 20t => t = 90 s

Vị trí gặp nhau cách A đoạn: x2 = 20.90 = 1800 m

b) Khi vận tốc hai xe gặp nhau: v1 = v2 => 2 + 0,4t = 20

=> t = 45 s

Phần 2: Dành cho các lớp 10CT-10CH-10A1-10A2-10A3-10A7.1

Câu 6: (2 điểm)

a) Gốc tọa độ tại A, chiều dương là chiều chuyển động của xe, gốc thời gian lúc hai xe đi qua A

Viết được: x1 = 2t + 0,2t2 (m,s)

x2 = 20t (m,s)

Khi hai xe gặp nhau: x1 = x2 => 2t + 0,2t2 = 20t => t = 90 s

Vị trí gặp nhau cách A đoạn: x2 = 20.90 = 1800 m

b) Khi vận tốc hai xe gặp nhau: v1 = v2 => 2 + 0,4t = 20

=> t = 45 s

Khoảng cách hai xe: L = |x1 – x2| = | 2t + 0,2t2 - 20t| = 405 m

Chọn file muốn tải về:
Đóng Chỉ thành viên VnDoc PRO/PROPLUS tải được nội dung này!
Đóng
79.000 / tháng
Đặc quyền các gói Thành viên
PRO
Phổ biến nhất
PRO+
Tải tài liệu Cao cấp 1 Lớp
30 lượt tải tài liệu
Xem nội dung bài viết
Trải nghiệm Không quảng cáo
Làm bài trắc nghiệm không giới hạn
Mua cả năm Tiết kiệm tới 48%

Có thể bạn quan tâm

Xác thực tài khoản!

Theo Nghị định 147/2024/ND-CP, bạn cần xác thực tài khoản trước khi sử dụng tính năng này. Chúng tôi sẽ gửi mã xác thực qua SMS hoặc Zalo tới số điện thoại mà bạn nhập dưới đây:

Số điện thoại chưa đúng định dạng!
Số điện thoại này đã được xác thực!
Bạn có thể dùng Sđt này đăng nhập tại đây!
Lỗi gửi SMS, liên hệ Admin
Sắp xếp theo
🖼️

Đề thi giữa kì 1 lớp 10

Xem thêm
🖼️

Gợi ý cho bạn

Xem thêm