Đề kiểm tra giữa học kì 2 môn Sinh học lớp 9 trường THCS Giang Phong, Thái Bình năm 2014 - 2015
Đề kiểm tra giữa học kì 2 môn Sinh học lớp 9
Đề kiểm tra học kì 2 môn Sinh học lớp 9 năm học 2014 - 2015 trường THCS Giang Phong, Thái Bình là đề thi học kì II môn Sinh học lớp 9 có đáp án dành cho các bạn học sinh và thầy cô tham khảo, làm tài liệu nghiên cứu, học tập môn Sinh lớp 9 được chắc chắn nhất, làm cơ sở học lên chương trình Sinh học lớp 10.
Đề kiểm tra học kì 2 môn Toán lớp 9 sở Giáo dục và đào tạo Tiền Giang năm 2014 - 2015
Đề kiểm tra giữa học kì 2 môn Ngữ văn lớp 9 phòng GD&ĐT Bình Giang năm 2014 - 2015
| TRƯỜNG THCS Giang Phong |
ĐỀ KIỂM TRA Thời gian: 45 phút |
I-Trắc nghiệm
Khoanh tròn chữ cái A,B,C,D đứng trước câu trả lời đúng nhất.
Câu 1. Nguyên nhân của hiện tượng thoái hoá giống:
A. Giao phấn sảy ra ở thực vật
B. Giao phối ngẫu nhiên ở động vật
C. Tự thụ phấn ở cây giao phấn và giao phối gần ở động vật
D. Lai giữa các dòng thuần chủng khác nhau
Câu 2. Giao phối cận huyết là:
A. Giao phối giữa các cá thể khác bố mẹ
B. Lai giữa các cây có cùng kiểu gen
C. Giao phối giữa các cá thể có kiểu gen khác nhau
D. Giao phối giữa con cái sinh ra từ một cặp bố mẹ hoặc giữa bố mẹ với con cái.
Câu 3. Một nhóm cá thể thuộc cùng một loài sống trong một khu vực nhất định, ở một thời điểm nhất định là:
A. Quần xã sinh vật B Quần thể sinh vật C. Hệ sinh thái D. Quan hệ hỗ trợ
Câu 4. Tảo quang hợp và nấm hút nước hợp lại thành địa y. Tảo cung cấp chất dinh dưỡng còn nấm cung cấp nước là ví dụ về:
A. Ký sinh B. Cạnh tranh C. Hội sinh D. Cộng sinh
Câu 5. Nhóm ĐV hằng nhiệt là:
A. Cá, chim, thú B. Chim, thú, bò sát C. Bò sát lưỡng cư D. Chim, thú.
Câu 6. Đặc điểm có ở quần xã và không có ở quần thể.
A. Có số cá thể cùng 1 loài B. Cùng sống trong 1 không gian xác định
C. Tập hợp các quần thể thuộc nhiều loài D. Có hiện tượng sinh sản
II. Tự luận (7đ)
Câu 1. (2đ) Ưu thế lai là gì? Tại sao không dùng cơ thể lai F1 để nhân giống?
Câu 2. (2đ) Môi trường là gì? Kể tên 5 nhân tố vô sinh và 5 nhân tố hữu có trong môi trường trường học.
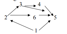
Câu 3. (3đ) Lưới thức ăn là gì? Cho 1 sơ đồ lưới thức ăn sau:

Hãy xác định tên các sinh vật cho mỗi mắt xích trong lưới thức ăn.
Đáp án đề kiểm tra giữa học kì 2 môn Sinh học lớp 9
I. Trắc nghiệm:
1-C; 2-D; 3-B; 4-D; 5-D; 6-C (Mỗi ý đúng 0,5đ)
II. Tự luận:
Câu 1: (1,0đ)
- Ưu thế lai là hiện tượng cơ thể lai F1 có ưu thế hơn hẳn so với bố mẹ về sinh trưởng, phát triển, chống chịu, năng suất.
- Ưu thế lai biểu hiện rõ khi lai giữa các dòng thuần có kiểu gen khác nhau.Ưu thế lai biểu hiện cao nhất ở thế hệ F1 giảm dần ở các thế hệ tiếp theo
- Nếu nhân giống thì sang thế hệ sau các gen lặn gây hại ở trạng thái đồng hợp sẽ biểu hiện tính trạng.
Câu 2: (2,0đ)
Môi trường là nơi sinh sống của sinh vật, bao gồm tất cả những gì bao quanh chúng, tác động trực tiếp hoặc gián tiếp lên sự sống, phát triển và sinh sản của sinh vật.
VD 5 nhân tố vô sinh: Nước, đất, không khí, lớp học, bàn ghế
VD 5 nhân tố vô sinh: Cây xanh, các bạn, thầy cô giáo, giun, chim
Câu 3: (3,0đ)
Lưới thức ăn: Chuỗi thức ăn có nhiều mắt xích chung tạo thành một lưới thức ăn
Một lưới thức ăn:
