Đề kiểm tra học kì II môn Toán lớp 10 Trường THPT chuyên Hà Nội Amsterdam
Đề kiểm tra học kì 2 lớp 10 môn Toán
Đề thi học kì 2 môn Toán lớp 10 trường THPT chuyên Hà Nội Amsterdam năm 2011 là tài liệu tham khảo được VnDoc sưu tầm và giới thiệu tới các bạn học sinh để củng cố và nâng cao kiến thức ôn thi học kì II môn Toán lớp 10, ôn thi cuối năm. Mời các bạn cùng tham khảo. Chúc các bạn học tốt và đạt được kết quả tốt trong các kì thi sắp tới.
Đề thi học kì 2 môn Vật Lý lớp 10 trường THPT Lý Thái Tổ năm học 2014-2015
Đề cương ôn tập môn Hóa học lớp 10 học kì 2
Đề thi học kì 2 môn Lịch sử lớp 10 trường THPT Chuyên Lê Quý Đôn, Bình Định năm học 2014 - 2015
Bài 1 (2 điểm):
Cho f(x) = (m + 1)x2 - 2(m - 1)x + 3m - 3, với m là tham số. Tìm m để:
a. f(x) < 0, với mọi x thuộc R
b. Phương trình: f(x) = 0 có hai nghiệm phân biệt cùng dương
Bài 2 (1,5 điểm):
Giải bất phương trình: 
Bài 3 (2 điểm):
a. Rút gọn biểu thức: P = cosx.cos2x.cos4x.cos8x/sin16x
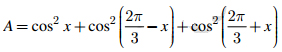
b. Chứng minh rằng giá trị của biểu thức sau không phụ thuộc x:
Bài 4 (2,5 - 3 điểm):
Trong mặt phẳng tọa độ Oxy cho đường tròn (C): x2 + y2 + 2x - 4y -4 = 0
a. Viết phương trình tiếp tuyến với đường tròn (C) đi qua điểm A(2; 3). Tính góc giữa hai đường tiếp tuyến
b. Gọi M, N là các tiếp điểm của hai tiếp tuyến kẻ từ A đến (C). Viết phương trình đường thẳng MN và tính khoảng cách từ A đến MN
Bài 5 (2 điểm - 1,5 điểm):
a. Trong mặt phẳng tọa độ Oxy, cho tam giác ABC có đỉnh A(2; 1), đường cao qua đỉnh B có phương trình: x - 3y - 7 = 0 và đường trung tuyến đỉnh C có phương trình: x + y + 1 = 0. Viết phương trình các cạnh của tam giác ABC và tính diện tích tam giác ABC.
b. Tam giác có đặc điểm gì nếu thỏa mãn: 