Giao diện mới của VnDoc Pro: Dễ sử dụng hơn - chỉ tập trung vào lớp bạn quan tâm. Vui lòng chọn lớp mà bạn quan tâm: Lưu và trải nghiệm
Đóng
Điểm danh hàng ngày
  • Hôm nay +3
  • Ngày 2 +3
  • Ngày 3 +3
  • Ngày 4 +3
  • Ngày 5 +3
  • Ngày 6 +3
  • Ngày 7 +5
Bạn đã điểm danh Hôm nay và nhận 3 điểm!
Nhắn tin Zalo VNDOC để nhận tư vấn mua gói Thành viên hoặc tải tài liệu Hotline hỗ trợ: 0936 120 169

Đề kiểm tra Học kỳ I lớp 11 năm 2012 - 2013, THPT Lê Thánh Tông tỉnh Gia Lai

Lớp: Lớp 11
Môn: Toán
Dạng tài liệu: Đề thi
Loại File: Word + ZIP
Phân loại: Tài liệu Tính phí

Đề kiểm tra học kì 1 lớp 11

Đề kiểm tra Học kỳ I lớp 11 năm 2012 - 2013, THPT Lê Thánh Tông tỉnh Gia Lai gồm đề thi và đáp án 8 môn: Toán, Vật lý, Hóa học, Sinh học, Ngữ văn, Lịch sử, Địa lý, Tiếng Anh. Đây là tài liệu tham khảo hay để các em tham khảo và ôn luyện chuẩn bị cho kỳ thi học kỳ I của mình.

Đề kiểm tra học kì 1 môn Toán lớp 11 năm học 2014 - 2015 trường THPT Châu Thành 1, Đồng Tháp

Bộ đề kiểm tra học kì 1 môn Tiếng Anh lớp 11 trường THPT Quang Trung, Đà Nẵng

Đề thi học kì 1 môn Ngữ Văn lớp 11 trường THPT Chuyên Lê Hồng Phong năm 2013 - 2014

Đề thi học kỳ 1 lớp 11 môn Toán

SỞ GD&ĐT GIA LAI
TRƯỜNG THPT LÊ THÁNH TÔNG

KIỂM TRA HỌC KÌ I LỚP 11
NĂM HỌC: 2012 - 2013

ĐỀ THI MÔN: TOÁN (Thời gian: 90 phút)

I- PHẦN CHUNG CHO TẤT CẢ THÍ SINH (7 điểm):

Bài 1: (0,75 điểm)

Tìm tập xác định của hàm số

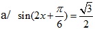
Bài 2: (1,75 điểm) Giải phương trình

Bài 3: (1,0 điểm)

Một hộp kín đựng 18 viên bi khác nhau, trong đó có 8 bi màu xanh và 10 bi màu đỏ. Lấy ngẫu nhiên 5 viên bi, tính xác suất để số bi lấy được gồm 2 viên bi màu xanh và 3 viên bi màu đỏ.

Bài 4: (2,5 điểm)

Cho hình chóp S.ABCD, có đáy ABCD là hình bình hành tâm O. Gọi M, N, P lần lượt là trung điểm của BC, CD và SA.

a/ Chứng minh MN // mp (SBD) và tìm giao tuyến của 2 mặt phẳng (SMN) và (SBD)

b/ Tìm giao tuyến của mp (MNP) với mp (SAC) và tìm giao điểm I của đường thẳng SO với mp (MNP)

c/ Xác định thiết diện tạo bởi mp (MNP) cắt hình chóp .

Bài 5: (1,0 điểm)

Tìm m để phương trình: sin2x + m = sinx + 2m cosx có đúng 2 nghiệm phân biệt thuộc đoạn [0; 3π/4].

II- PHẦN RIÊNG (3 điểm): Thí sinh học chương trình nào chỉ được làm phần dành riêng cho chương trình đó.

A- Theo chương trình chuẩn:

Bài 6A (3,0 điểm):

a/ Một cấp số cộng (un) có u1 = 5; u12 = 38. Tìm số hạng u15

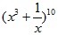
b/ Tìm số hạng chứa x6 của khai triển

c/ Trong mặt phẳng Oxy, viết phương trình (d/) là ảnh của đường thẳng (d) có phương trình x – 3y + 2 = 0 qua phép tịnh tiến theo véc tơ v = (2; -1)

B- Theo chương trình nâng cao:

Bài 6B (3,0 điểm):

a/ Từ tập hợp các chữ số 0, 1, 2, 3, 4, 5 có thể lập được bao nhiêu số chẵn có 4 chữ số khác nhau.

b/ Tìm hệ số của x5 trong khai triển (x + 1)4 + (x + 1)5 + (x + 1)6 + (x + 1)7

c/ Trong mặt phẳng Oxy, cho đường thẳng d: x – 3y + 2 = 0 và I(1 ; 2) .Viết phương trình d/ là ảnh của d qua phép vị tự tâm I tỉ số k = 3.

Đề thi học kỳ 1 lớp 11 môn Ngữ văn

ĐỀ THI MÔN: NGỮ VĂN (Thời gian: 90 phút)

Câu 1 (3 điểm):

Hãy viết một bài văn ngắn (khoảng 300 từ) trình bày suy nghĩ của anh (chị) về câu nói sau :’’Một trong những tổn thất không có gì bù đắp được là tổn thất về thời gian’’.

Câu 2 (7 điểm):

Phân tích diễn biến tâm trạng của nhân vật Chí Phèo sau cuộc gặp gỡ với thị Nở cho đến kết thúc truyện (”Chí Phèo” – Nam Cao).

Đề thi học kỳ 1 lớp 11 môn Lịch sử

ĐỀ THI MÔN: LỊCH SỬ (Thời gian: 45 phút)

Câu 1: (4,0 điểm)

Trình bày nét chính diễn biến Cách mạng tháng Mười Nga (1917). Ảnh hưởng Cách mạng tháng Mười Nga đến cách mạng Việt Nam?

Câu 2: (3.0 điểm)

Lí giải những điểm cơ bản trong Chính sách mới của Tổng thống Mĩ Ru-dơ-ven và tác dụng của chính sách đó đối với nước Mĩ?

Câu 3: (3.0 điểm)

Hậu qủa của khủng hoảng kinh tế thế giới 1929-1933 đối với quan hệ quốc tế như thế nào? Vì sao Việt Nam cũng chịu tác động ảnh hưởng của cuộc khủng hoảng kinh tế thế giới 1929 – 1933?

Chọn file muốn tải về:
Đóng Chỉ thành viên VnDoc PRO/PROPLUS tải được nội dung này!
Đóng
79.000 / tháng
Đặc quyền các gói Thành viên
PRO
Phổ biến nhất
PRO+
Tải tài liệu Cao cấp 1 Lớp
30 lượt tải tài liệu
Xem nội dung bài viết
Trải nghiệm Không quảng cáo
Làm bài trắc nghiệm không giới hạn
Mua cả năm Tiết kiệm tới 48%

Có thể bạn quan tâm

Xác thực tài khoản!

Theo Nghị định 147/2024/ND-CP, bạn cần xác thực tài khoản trước khi sử dụng tính năng này. Chúng tôi sẽ gửi mã xác thực qua SMS hoặc Zalo tới số điện thoại mà bạn nhập dưới đây:

Số điện thoại chưa đúng định dạng!
Số điện thoại này đã được xác thực!
Bạn có thể dùng Sđt này đăng nhập tại đây!
Lỗi gửi SMS, liên hệ Admin
Sắp xếp theo
🖼️

Tiếng Anh 11 mới

Xem thêm
🖼️

Gợi ý cho bạn

Xem thêm