Đề kiểm tra học kì 1 môn Toán lớp 11 năm học 2014 - 2015 trường THPT Châu Thành 1, Đồng Tháp
Đề kiểm tra học kì 1 môn Toán lớp 11
Đề kiểm tra học kì 1 môn Toán lớp 11 năm học 2014 - 2015 trường THPT Châu Thành 1, Đồng Tháp là đề thi tham khảo hay dành cho cả giáo viên và học sinh. Các thầy cô có thể sử dụng tài liệu này để ra đề thi, đề ôn tập cho học sinh. Các bạn học sinh có thể luyện đề nhằm ôn tập kiến thức, chuẩn bị cho các bài thi, bài kiểm tra học kì I sắp tới.
Đề thi học kì 1 môn Toán lớp 11 trường THPT Nguyễn Hữu Thọ, Long An năm học 2015 - 2016
Đề thi học kì 1 môn Toán lớp 11 trường THPT Lê Hồng Phong, Đăk Lăk năm học 2015 - 2016
Đề thi học kì 1 môn Toán lớp 11 trường THPT Trần Quang Khải, Hà Nội năm học 2015 - 2016
Đề thi học kì 1 môn Toán lớp 11 trường THPT Tháp Chàm, Ninh Thuận năm học 2015 - 2016
|
SỞ GIÁO DỤC VÀ ĐÀO TẠO TỈNH ĐỒNG THÁP
ĐỀ CHÍNH THỨC (Đề gồm có 01 trang) |
KIỂM TRA HỌC KÌ I Năm học: 2014 - 2015 Môn thi: TOÁN - Lớp 11 Ngày thi: 25/12/2014 Thời gian: 90 phút (không kể thời gian phát đề) |
I. PHẦN CHUNG CHO TẤT CẢ THÍ SINH (8,0 điểm)
Câu I. (2,0 điểm) Giải các phương trình sau:
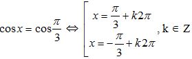
- cosx = cosπ/3
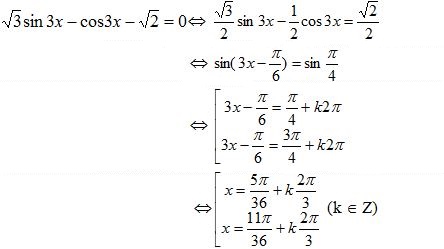
- √3sin3x - cos3x - √2 = 0
Câu II. (3,0 điểm)
- Lấy ngẫu nhiên một thẻ từ một hộp chứa 20 thẻ được đánh số từ 1 đến 20. Tìm xác suất để thẻ được lấy ghi số lẻ và chia hết cho 3.
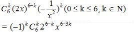
- Tìm số hạng không chứa x trong khai triển của (2x - 1/x2)6.
- Từ một tổ có 16 học sinh gồm 3 học sinh học lực giỏi, 5 học sinh học lực khá và 8 học sinh học lực trung bình. Để tổ chức học nhóm, tổ trưởng cần chia tổ thành 2 nhóm, mỗi nhóm 8 người sao cho ở mỗi nhóm đều có học sinh học lực giỏi và mỗi nhóm có ít nhất hai học sinh học lực khá. Hỏi tổ trưởng có bao nhiêu cách chia?
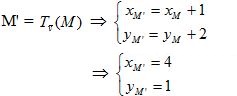
Câu III. (1,0 điểm) Trong mặt phẳng tọa độ Oxy cho vectơ
. Tìm tọa độ của điểm M' là ảnh của điểm M(3; -1) qua phép tịnh tiến
.
Câu IV. (2,0 điểm) Cho hình chóp S.ABCD có đáy là hình bình hành ABCD, gọi O là giao điểm của AC và BD, M là trung điểm SB.
a) Tìm giao tuyến của hai mặt phẳng (SAC) và (SBD);
b) Chứng minh đường thẳng SD song song với mặt phẳng (MAC).
II. PHẦN RIÊNG - Tự chọn (2,0 điểm)
Thí sinh chỉ chọn một trong hai câu (câu V.a hoặc câu V.b)
Câu V.a. Theo chương trình Chuẩn (2,0 điểm)
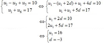
Tìm công sai và tính tổng của 10 số hạng đầu của cấp số cộng thỏa mãn
.
Câu V.b. Theo chương trình Nâng cao (2,0 điểm)
Tìm giá trị lớn nhất, giá trị nhỏ nhất của hàm số y = 2sin2x - cos2x.
Đáp án đề kiểm tra học kì 1 môn Toán lớp 11
Câu I (2,0 điểm)
1 (1,0 điểm)

2 (1,0 điểm)

Câu II (3,0 điểm)
1 (1,0 điểm)
Không gian mẫu Ω = {1, 2, 3, ..., 20} => n(Ω) = 20. 0,25
Gọi A là biến cố: "thẻ được lấy ghi số lẻ và chia hết cho 3".
Ta có: A = {3, 9, 15}
=> n(A) = 3
Vậy: P(A) = 3/20
2 (1,0 điểm)
Số hạng tổng quát: 
Ta phải tìm k sao cho 6 - 3k = 0 <=> k = 2
Vậy số hạng cần tìm là: (-1)2 C26C6-2 = 240
3 (1,0 điểm)
Ta chọn 8 học sinh thỏa đề bài vào một nhóm, 8 học sinh còn lại tạo thành nhóm thứ hai.
- Có
cách chọn nhóm có 1 học sinh giỏi, 2 học sinh khá và 5 học sinh trung bình. - Có
cách chọn nhóm có 2 học sinh giỏi, 2 học sinh khá và 4 học sinh trung bình. - Có
cách chọn nhóm có 1 học sinh giỏi, 3 học sinh khá và 4 học sinh trung bình. - Có
cách chọn nhóm có 2 học sinh giỏi, 3 học sinh khá và 3 học sinh trung bình.
Vậy có:
(cách chia nhóm)
Câu III (1,0 điểm)

Vậy M'(4; 1)
Câu IV (2,0 điểm)
a (1,0 điểm)

Vậy SO = (SAC) ∩ (SBD)
b (1,0 điểm)
Xét SBD có: O là trung điểm BD và M là trung điểm SB.
=> OM là đường trung bình của ΔSBD.
OM // SD
Mà OM
(MAC)
=> SD // (MAC)
Câu V.a (2,0 điểm)
Ta có:

Vậy công sai d = 16
Tổng 10 số hạng đầu tiên: S10 = 10/2(2u1 + 9d) = 5(32 - 27) = 25
Câu V.b (2,0 điểm)
TXĐ: D = R
Ta có: y = 1 - 2cos2x
Vì -1 ≤ cos2x ≤ 1 <=> -1 ≤ 1 - 2cos2x ≤ 3 nên
Giá trị nhỏ nhất của y là -1, đạt được khi x = kπ, k ∈ Z.
Giá trị lớn nhất của y là 3, đạt được khi x = π/2 + kπ, k ∈ Z.