Đề thi học kì 1 môn Toán lớp 11 trường THPT Nguyễn Hữu Thọ, Long An năm học 2015 - 2016
Đề thi học kì 1 môn Toán lớp 11
Đề thi học kì 1 môn Toán lớp 11 trường THPT Nguyễn Hữu Thọ, Long An năm học 2015 - 2016. Đề thi bám sát kiến thức SGK Toán lớp 11 học kì 1, chính vì vậy học sinh chỉ cần nằm chắc kiến thức trong SGK là có thể làm được bài và đạt được số điểm khá. Mời các bạn tham khảo.
Đề thi học kì 1 môn Toán lớp 11 trường THPT Chương Mỹ B, Hà Nội năm học 2015 - 2016
Đề thi học kì 1 môn Toán lớp 11 trường THPT Tháp Chàm, Ninh Thuận năm học 2015 - 2016
| SỞ GD&ĐT LONG AN TRƯỜNG THPT NGUYỄN HỮU THỌ |
ĐỀ THI HỌC KÌ I NĂM HỌC 2015 - 2016 MÔN: TOÁN - LỚP 11 Thời gian làm bài: 90 phút |
Câu 1: (3.0 điểm) Giải phương trình
a/
tan(x + 600) – 1 = 0
b/ 2cos22x + 3cos2x + 1 = 0
c/ 2 +
(sin2x – 3sinx) = cos2x + 3cosx
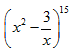
Câu 2: (1.0 điểm) Tìm hệ số của x6 trong khai triển 
Câu 3: (2.0 điểm)
a/ Một tổ có 9 nam, 7 nữ. Giáo viên cần chọn ra 4 bạn. Tính xác xuất trong 4 bạn được chọn có đủ cả nam lẫn nữ
b/ Giải phương trình sau: 3A2n - A22n + 42 = 0
Câu 4: (1.0 điểm) Tìm số hạng đầu và công sai d cấp số cộng, biết: 
Câu 5: ( 0.5 điểm) Trong Oxy, tìm ảnh của A(-3; 7) qua phép tịnh tiến theo ![]()
Câu 6: (2.5 điểm) Cho hình chóp S.ABCD có ABCD là hình bình hành, AC cắt BD tại O. Gọi M, N lần lượt là trung điểm của SA, SB. Điểm H thuộc cạnh SD sao cho DH = ¼SD.
a/ Tìm giao tuyến của (SAC) và (SBD)
b/ Chứng minh rằng: NO//(SCD)
c/ Tìm giao điểm của NH và (SAC)
d/ Gọi E = MH ∩ AD; F = NH ∩ BD. Chứng minh rằng: EF//CD
Đáp án đề thi học kì 1 môn Toán lớp 11



