Giao diện mới của VnDoc Pro: Dễ sử dụng hơn - chỉ tập trung vào lớp bạn quan tâm. Vui lòng chọn lớp mà bạn quan tâm: Lưu và trải nghiệm
Đóng
Điểm danh hàng ngày
  • Hôm nay +3
  • Ngày 2 +3
  • Ngày 3 +3
  • Ngày 4 +3
  • Ngày 5 +3
  • Ngày 6 +3
  • Ngày 7 +5
Bạn đã điểm danh Hôm nay và nhận 3 điểm!
Nhắn tin Zalo VNDOC để nhận tư vấn mua gói Thành viên hoặc tải tài liệu Hotline hỗ trợ: 0936 120 169

Đề thi học kì 1 môn Toán lớp 11 trường THPT Chương Mỹ B, Hà Nội năm học 2015 - 2016

Lớp: Lớp 11
Môn: Toán
Dạng tài liệu: Đề thi
Loại File: PDF + Word
Phân loại: Tài liệu Tính phí

Đề thi học kì 1 môn Toán lớp 11

Đề thi học kì 1 môn Toán lớp 11 trường THPT Chương Mỹ B, Hà Nội năm học 2015 - 2016. Đây là tài liệu tham khảo hay được Vndoc.com sưu tầm, dành cho quý thầy cô cùng các bạn học sinh lớp 11, nhằm ôn tập và củng cố kiến thức để chuẩn bị cho kì thi học kì 1sắp tới. Hi vọng rằng với tài liệu này các bạn học sinh sẽ đạt được kết quả cao. Mời các bạn tham khảo.

Đề thi học kì 2 môn Toán lớp 11 (nâng cao) trường THPT Phan Văn Trị, Cần Thơ năm học 2015 - 2016

Đề thi học kì 1 môn Toán lớp 11 trường THPT Thuận Thành 1, Bắc Ninh năm học 2015 - 2016

SỞ GD & ĐT HÀ NỘI
TRƯỜNG THPT CHƯƠNG MỸ B

ĐỀ THI HỌC KÌ I NĂM HỌC 2015 - 2016
MÔN: TOÁN - LỚP 11
Thời gian làm bài: 120 phút

Câu 1 ( 2,5 điểm)

1/ Giải phương trình:

a) 2sin(300 - 3x) - 1 = 0

Đề thi học kỳ I môn Toán lớp 11

2/ Tìm giá trị lớn nhất và giá trị nhỏ nhất của hàm số: Đề thi học kỳ I môn Toán lớp 11

Câu 2 ( 2,5 điểm)

1/ Một học sinh chỉ học 20 câu trong số 25 câu hỏi thi. Tính xác suất để học sinh đó trả lời được cả 3 câu trong phiếu thi biết mỗi phiếu thi được lấy từ 25 câu.

2/ Tìm hạng tử thứ 5 của khai triển:Đề thi học kỳ I môn Toán lớp 11biết Đề thi học kỳ I môn Toán lớp 11

Câu 3 ( 2,0 điểm).

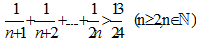
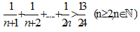
1/ Chứng minh dãy số (un) với Đề thi học kỳ I môn Toán lớp 11là dãy số giảm và bị chặn.

2/ Chứng minh: Đề thi học kỳ I môn Toán lớp 11

Câu 4 ( 3,0 điểm)

Cho hình chóp S.ABCD có đáy là hình thang với AD // BC, AD > BC. Gọi M, N, P lần lượt là trung điểm của AB, CD, DA. E, F lần lượt là trung điểm của các đoạn SN, SP.

1/ Tìm giao tuyến của mặt phẳng (SAD) và (SBC)

2/ Chứng minh: EF // (SAC)

3/ Xác định thiết diện của hình chóp cắt bởi mặt phẳng (MNF).

-------- Hết --------

Chọn file muốn tải về:
Đóng Chỉ thành viên VnDoc PRO/PROPLUS tải được nội dung này!
Đóng
79.000 / tháng
Đặc quyền các gói Thành viên
PRO
Phổ biến nhất
PRO+
Tải tài liệu Cao cấp 1 Lớp
30 lượt tải tài liệu
Xem nội dung bài viết
Trải nghiệm Không quảng cáo
Làm bài trắc nghiệm không giới hạn
Mua cả năm Tiết kiệm tới 48%

Có thể bạn quan tâm

Xác thực tài khoản!

Theo Nghị định 147/2024/ND-CP, bạn cần xác thực tài khoản trước khi sử dụng tính năng này. Chúng tôi sẽ gửi mã xác thực qua SMS hoặc Zalo tới số điện thoại mà bạn nhập dưới đây:

Số điện thoại chưa đúng định dạng!
Số điện thoại này đã được xác thực!
Bạn có thể dùng Sđt này đăng nhập tại đây!
Lỗi gửi SMS, liên hệ Admin
Sắp xếp theo
🖼️

Toán 11

Xem thêm
🖼️

Gợi ý cho bạn

Xem thêm