Đề thi học kì 2 môn Toán lớp 11 (nâng cao) trường THPT Phan Văn Trị, Cần Thơ năm học 2015 - 2016
Đề thi học kì 2 môn Toán lớp 11 (nâng cao)
Đề thi học kì 2 môn Toán lớp 11 (nâng cao) trường THPT Phan Văn Trị, Cần Thơ năm học 2015 - 2016 là đề kiểm tra học kì II lớp 11 môn Toán có đáp án đi kèm. Đây là tài liệu ôn tập môn Toán hữu ích dành cho các bạn học sinh lớp 11, giúp các bạn luyện tập và củng cố kiến thức, ôn thi cuối năm hiệu quả. Mời các bạn tham khảo.
Đề thi học kì 2 môn Toán lớp 11 (cơ bản) trường THPT Phan Văn Trị, Cần Thơ năm học 2015 - 2016
Đề thi học kì 2 môn Địa lý lớp 11 trường THPT Phan Văn Trị, Cần Thơ năm học 2015 - 2016
| TRƯỜNG THPT PHAN VĂN TRỊ TỔ TOÁN – TIN |
KIỂM TRA HỌC KỲ II NĂM HỌC 2015 - 2016 MÔN: TOÁN 11 NÂNG CAO THỜI GIAN: 90 PHÚT |
ĐỀ 1
Bài 1: (2 điểm) Tính các giới hạn sau:
![]()
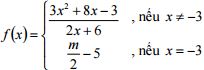
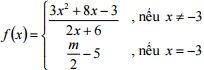
Bài 2: (2 điểm) Tìm m để hàm số sau liên tục trên tập xác định của nó

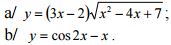
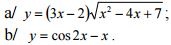
Bài 3: (2 điểm) Tính đạo hàm của các hàm số sau:
![]()
Bài 4: (1 điểm)
Cho hàm số
có đồ thị (C). Viết phương trình tiếp tuyến của (C) tại điểm có hoành độ dương, biết tiếp tuyến vuông góc với đường thẳng d: 5x + y - 3 = 0.
Bài 5: (3 điểm)
Cho hình chóp S.ABCD có đáy ABCD là hình chữ nhật, cạnh AB = a, AD = 2a. Tam giác SAD vuông cân tại S và nằm trong mặt phẳng vuông góc với (ABCD). Gọi H là trung điểm của AD.
a/ Chứng minh SH vuông góc với BC;
b/ Tính góc giữa SB và mặt đáy (ABCD);
c/ Tính khoảng cách từ H đến (SBC).
Đáp án đề thi học kì 2 môn Toán lớp 11 (nâng cao)


