Đề thi học kì 2 môn Toán lớp 11 (cơ bản) trường THPT Phan Văn Trị, Cần Thơ năm học 2015 - 2016
Đề thi học kì 2 môn Toán lớp 11 (cơ bản)
VnDoc.com mời các bạn tham khảo Đề thi học kì 2 môn Toán lớp 11 (cơ bản) trường THPT Phan Văn Trị, Cần Thơ năm học 2015 - 2016 có đáp án đi kèm. Đề kiểm tra học kì II môn Toán giúp các bạn tự ôn luyện và củng cố kiến thức hiệu quả, chuẩn bị sẵn sàng cho bài thi cuối năm.
Đề thi học kì 2 môn Ngữ văn lớp 11 trường THPT Phan Văn Trị, Cần Thơ năm học 2015 - 2016
Đề thi học kì 2 môn Toán lớp 11 (nâng cao) trường THPT Phan Văn Trị, Cần Thơ năm học 2015 - 2016
| SỞ GD - ĐT TP CẦN THƠ TRƯỜNG THPT PHAN VĂN TRỊ |
ĐỀ KIỂM TRA HỌC KỲ II NĂM HỌC 2015-2016 MÔN TOÁN KHỐI 11 (CƠ BẢN) Thời gian: 90 phút |
Đề 1
Câu 1: (2 điểm)
Tính các giới hạn sau:
![]()
Câu 2: (2 điểm)
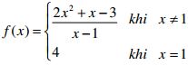
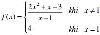
Xét tính liên tục của hàm số:
tại x0 = 1.
Câu 3: (2 điểm)
Tính đạo hàm của các hàm số sau:
![]()
Câu 4: (1 điểm)
Viết phương trình tiếp tuyến của đồ thị hàm số
tại điểm có hoành độ x0 = 2.
Câu 5: (3 điểm)
Cho hình chóp tứ giác đều S.ABCD có cạnh đáy bằng a, cạnh bên bằng a√2. Gọi M, N lần lượt là trung điểm của BC và AD; O là hình chiếu vuông góc của S lên mặt phẳng (ABCD).
a) Chứng minh rằng: (SMN) ⊥ (SBC).
b) Tính góc giữa cạnh bên và mặt phẳng (ABCD).
c) Tính khoảng cách từ A đến (SBC).
Đáp án đề thi học kì 2 môn Toán lớp 11 (cơ bản)


