Đề thi học kì 1 môn Toán lớp 11 trường THPT Tháp Chàm, Ninh Thuận năm học 2015 - 2016
Đề thi học kì 1 môn Toán lớp 11
Đề thi học kì 1 môn Toán lớp 11 trường THPT Tháp Chàm, Ninh Thuận năm học 2015 - 2016. Đề gồm 5 câu hỏi tự luận với thời gian làm bài là 90 phút. Đã có đáp án và thang điểm cho từng câu hỏi. Mời các bạn tham khảo.
Đề thi học kì 1 môn Toán lớp 11 trường THPT Thuận Thành 1, Bắc Ninh năm học 2015 - 2016
Đề thi học kì 1 môn Toán lớp 11 trường THPT Chương Mỹ B, Hà Nội năm học 2015 - 2016
| SỞ GD&ĐT NINH THUẬN TRƯỜNG THPT THÁP CHÀM |
ĐỀ THI HỌC KÌ I NĂM HỌC 2015 - 2016 MÔN: TOÁN - LỚP 11 Thời gian làm bài: 90 phút |
Câu 1: (3,0 điểm) Giải các phương trình sau:
a/ 2sin2x + 3sinx + 1 = 0 b/ cosx –
= - 1
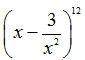
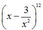
Câu 2: (1,0 điểm) Xác định số hạng không chứa x trong khai triển 
Câu 3: (2,0 điểm) Bốc ngẫu nhiên ba bi từ một hộp đựng 5 bi vàng, 7 bi xanh và 8 bi đỏ.
a/ Tính xác xuất để bốc được ba bi khác màu.
b/ Tính xác xuất để bốc được ít nhất một bi xanh.
Câu 4: (2,0 điểm) Trong hệ tọa độ Oxy, cho véc tơ
, đường thẳng (d): x - y + 2 = 0, và điểm A(-2; 1)
a/ Tìm tọa độ điểm B là ảnh của điểm A qua phép tịnh tiến theo véc tơ ![]()
b/ Viết phương trình đường thẳng (d') là ảnh của đường thẳng (d) qua phép tịnh tiến theo véc tơ ![]()
Câu 5: (2,0 điểm) Cho hình chóp S.ABCD, có đáy ABCD là hình thang, AD là đáy lớn. Trên cạnh SC lấy điểm M tùy ý (không trùng với điểm S và điểm C).
a/ Xác định giao tuyến của (SAD) với (SBC)
b/ Tìm giao điểm của SD với (ABM).
Đáp án đề thi học kì 1 môn Toán lớp 11


