Đề thi học kì 1 môn Toán lớp 11 trường THPT Trần Quang Khải, Hà Nội năm học 2015 - 2016
Đề thi học kì 1 môn Toán lớp 11
Đề thi học kì 1 môn Toán lớp 11 trường THPT Trần Quang Khải, Hà Nội năm học 2015 - 2016. Đề gồm 5 câu hỏi tự luận với thời gian làm bài là 120 phút. Đáp án và thang điểm chi tiết đã được chúng tôi cập nhật. Mời các bạn tham khảo.
Đề thi học kì 1 môn Toán lớp 11 trường THPT Lê Hồng Phong, Đăk Lăk năm học 2015 - 2016
Đề thi học kì 1 môn Toán lớp 11 trường THPT Tháp Chàm, Ninh Thuận năm học 2015 - 2016
Đề thi học kì 1 môn Toán lớp 11 trường THPT Nguyễn Hữu Thọ, Long An năm học 2015 - 2016
| SỞ GD&ĐT HÀ NỘI TRƯỜNG THPT TRẦN QUANG KHẢI |
ĐỀ THI HỌC KÌ 1 NĂM HỌC 2015 - 2016 MÔN: TOÁN - LỚP 11 Thời gian làm bài: 120 phút |
Câu 1. (2,0 điểm) Giải các phương trình sau:
1. 2cos2x - cosx - 1 = 0
2. ![]()
Câu 2. (2,0 điểm) Một hộp chứa 12 quả cầu trong đó có 5 quả cầu màu xanh và 7 quả cầu màu đỏ. Lấy ngẫu nhiên 2 quả cầu từ hộp. Tính xác suất để:
1. Hai quả cầu cùng màu.
2. Có ít nhất một quả màu xanh.
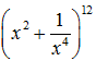
Câu 3. (1,0 điểm) Tìm số hạng không chứa x trong khai triển nhị thức: 
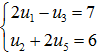
Câu 4. (2,0 điểm) Cho cấp số cộng (un) biết: 
1. Tìm số hạng đầu tiên và công sai của cấp số cộng (un).
2. Tính u15 và tổng của 15 số hạng đầu tiên của cấp số cộng (un).
Câu 5. (3,0 điểm) Cho hình chóp S.ABCD có đáy là hình thang đáy lớn là AB. Gọi M, N, P lần lượt là trung điểm của SA, SC và AB.
1. Chứng minh MP song song với mặt phẳng (SCB).
2. Tìm giao tuyến của hai mặt phẳng (SAD) và (SBC).
3. Xác định thiết diện của hình chóp S.ABCD cắt bởi mặt phẳng (MNP). Thiết diện đó là hình gì?
Đáp án đề thi học kì 1 môn Toán lớp 11


