Đề kiểm tra học kỳ I môn Toán lớp 8 trường THCS Hải An năm 2015 - 2016
Đề kiểm tra học kỳ I môn Toán lớp 8
Đề kiểm tra học kì 1 môn Toán lớp 8 năm học 2015 - 2016 trường THCS Hải An là đề thi học kì I lớp 8 dành cho thầy cô và các bạn học sinh tham khảo. Đề thi môn Toán có đáp án đi kèm, các bạn có thể dễ dàng kiểm tra kết quả sau khi luyện tập. Hi vọng tài liệu này sẽ giúp các bạn học tốt môn Toán 8, ôn thi học kì I hiệu quả.
Đề kiểm tra học kì 1 môn Vật lý lớp 8 năm học 2013 - 2014 huyện Long Mỹ, Hậu Giang
Kiểm tra Học Kì I
Môn: Toán 8
Thời gian: 90 phút
Câu 1 (3 điểm)
a, Viết 7 hằng đẳng thức đáng nhớ đã học
b, Khai triển hằng đẳng thức sau: (2x-1)3
Câu 2 (3 điểm)
a, Phân tích đa thức sau thành nhân tử: ma2- nb + na – mb2
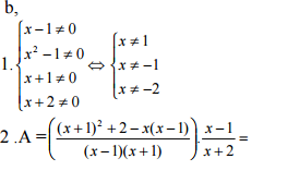
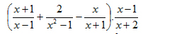
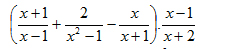
b, Cho biểu thức A=![]()
1.Hãy tìm điều kiện xác định của biểu thức A
2. Rút gọn A.
3. Tính giá trị của A khi x= 1/2
Câu 3 (4 điểm)
Cho tam giác ABC cân tại A, trung tuyến AM. Gọi I là trung điểm của AC, K là điểm đối xứng của M qua I.
a. Tứ giác AMCK là hình gì? Vì sao?
b. Tứ giác AKMB là hình gì? Vì sao?
c. Tìm điều kiện của tam giác ABC để tứ giác AMCK có hai cạnh liên tiếp bằng nhau?
Đáp án đề kiểm tra học kỳ I môn Toán lớp 8
Câu 1
b, 8x3- 12x2 + 6x – 1
Câu 2
a, (a- b)[n + m(a + b)]

