Đề kiểm tra học kì 1 môn Vật lý lớp 8 năm học 2013 - 2014 huyện Long Mỹ, Hậu Giang
Đề kiểm tra học kì 1 môn Vật lý lớp 8
Đề kiểm tra học kì 1 môn Vật lý lớp 8 năm học 2013 - 2014 huyện Long Mỹ, Hậu Giang là đề thi học kì I lớp 8 dành cho thầy cô và các bạn học sinh tham khảo. Đề thi môn Vật lý có đáp án đi kèm, các bạn có thể dễ dàng kiểm tra kết quả sau khi luyện tập. Hi vọng tài liệu này sẽ giúp các bạn học tốt môn Vật lý 8, ôn thi học kì I hiệu quả.
Đề kiểm tra học kì 1 môn Toán lớp 8 năm học 2013 - 2014 huyện Long Mỹ, Hậu Giang
Đề kiểm tra học kì 1 môn Sinh học lớp 8 năm học 2013 - 2014 huyện Long Mỹ, Hậu Giang
|
UBND HUYỆN LONG MỸ PHÒNG GIÁO DỤC VÀ ĐÀO TẠO |
CỘNG HOÀ XÃ HỘI CHỦ NGHĨA VIỆT NAM Độc lập – Tự do – Hạnh phúc |
ĐỀ KIỂM TRA HỌC KỲ 1, NĂM HỌC 2013-2014
Môn: Vật lý 8
Thời gian làm bài: 45 phút (không kể thời gian phát đề)
Câu 1: (2.0 điểm)
Độ lớn của vận tốc cho biết tính chất gì của chuyển động? Viết công thức tính vận tốc trung bình của chuyển động không đều? Nêu đơn vị của vận tốc?
Câu 2: (2.0 điểm)
Nêu khái niệm về áp suất của chất rắn? Viết công thức và nêu đơn vị của các đại lượng trong công thức.
Câu 3: (2.0 điểm)
Nêu điều kiện vật nổi, vật chìm, vật lơ lửng? Viết công thức tính lực đẩy Acsimét khi vật nổi trên mặt thoáng của chất lỏng.
Câu 4: (4,0 điểm)
a/ Một người đi xe đạp lên một cái dốc dài 300m hết 2 phút rồi đi tiếp đoạn đường xuống dốc dài 500m trong thời gian 2,5 phút. Tính vận tốc trung bình của người đó trên cả hai đoạn đường ra m/s.
b/ Người ta dùng một cần cẩu để nâng một thùng hàng khối lượng 2500kg lên độ cao 12m. Tính công thực hiện được trong trường hợp này.
Đáp án đề kiểm tra học kì 1 môn Vật lý lớp 8
Câu 1: (2.0 điểm)
- Độ lớn của vận tốc cho biết mức độ nhanh hay chậm của chuyển động. (1,0đ)
- vtb = S/t (0,5đ)
- Đơn vị vận tốc là m/s; km/h. (0,5đ)
Câu 2: (2.0 điểm)
- Nêu đúng khái niệm áp suất của chất rắn (0,75đ)
- Viết đúng công thức (0,5đ)
- Viết đúng 3 đơn vị (0,75đ)
Câu 3: (2,0 điểm)
- Nêu đúng 3 điều kiện (1,5đ)
- Viết đúng công thức lực đẩy Acsimét (0,5đ)
Câu 4: (4,0 điểm)
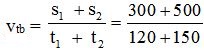
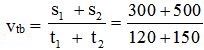
s1 = 300m; t1 = 2 phút = 120 s;
s2 = 500m; t2 = 2,5 phút = 150 s
vtb = ?
Giải
a/ Vận tốc trung bình của người đi xe đạp trên cả hai quãng đường là:

= 2,96 m/s
b/ m = 2500kg => P = F = 25000N.
h = s = 12m
Công thực hiện của cần cẩu:
A = F.s = 25.000N.12m = 300.000J = 300KJ