Đề kiểm tra học kì 1 môn Toán lớp 8 năm học 2013 - 2014 huyện Long Mỹ, Hậu Giang
Đề kiểm tra học kì 1 môn Toán lớp 8
Đề kiểm tra học kì 1 môn Toán lớp 8 năm học 2013 - 2014 huyện Long Mỹ, Hậu Giang là đề thi học kì I môn Toán có đáp án dành cho các bạn học sinh lớp 8 tham khảo và luyện tập. Hi vọng tài liệu này sẽ giúp các bạn ôn tập và củng cố kiến thức, học tốt môn Toán 8.
Đề kiểm tra học kì 1 môn Hóa học lớp 8 năm học 2013 - 2014 huyện Long Mỹ, Hậu Giang
Đề kiểm tra học kì 1 môn Lịch sử lớp 8 năm học 2013 - 2014 huyện Long Mỹ, Hậu Giang
|
UBND HUYỆN LONG MỸ PHÒNG GIÁO DỤC VÀ ĐÀO TẠO |
ĐỀ KIỂM TRA HỌC KỲ 1, NĂM HỌC 2013-2014 Môn: Toán 8 Thời gian làm bài: 90 phút (không kể thời gian phát đề) |
Câu 1: (2,0 điểm)
Rút gọn các biểu thức sau
a) A = (x – 5)(x2 + 26) + (x – 5)(5x – 1)

Câu 2: (1,5 điểm)
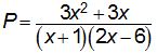
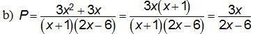
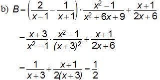
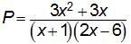
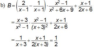
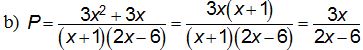
Cho biểu thức ![]()
a. Tìm điều kiện của x để giá trị của biểu thức P được xác định
b. Tìm giá trị của x để giá trị của biểu thức P bằng 0.
Câu 3: (2,5 điểm)
1. Phân tích đa thức 2x2 - 6x thành nhân tử
2. Cho đa thức x2 - 25 - 2xy + y2
a) Phân tích đa thức trên thành nhân tử.
b) Tính nhanh giá trị của đa thức trên tại x = 207; y = 112
Câu 4: (4,0 điểm) Cho hình bình hành ABCD có góc D = 600, AB = 4cm, CD = 2BC. Gọi E và F theo thứ tự là trung điểm của AB và CD.
a. Chứng minh DEBF là hình bình hành.
b. Tứ giác AEFD là hình gì? Chứng minh.
c. Gọi M là giao điểm của DE và AF, N là giao điểm của CE và BF. Chứng minh EMFN là hình chữ nhật.
d. Tính diện tích của tam giác AFB.
(Yêu cầu vẽ hình trước khi chứng minh).
Đáp án đề kiểm tra học kì 1 môn Toán lớp 8
Câu 1: (2,0 điểm)
a) A = (x – 5)(x2 + 26) + (x - 5)(5x - 1) = (x – 5)(x2 + 5x +25) = x3 - 125

Câu 2: (1,5 điểm)
a) x ≠ -1, x ≠ 3 0,5

P = 0 khi 3x = 0 hay x = 0
Câu 3: (2,5 điểm)
1) 2x2 - 6x = 2x(x - 3)
2a) x2 - 25 - 2xy + y2 = (x2 - 2xy + y2) - 25 = (x - y)2 - 52
= (x - y - 5)(x - y + 5)
b) Thay x = 207, y = 112 ta được:
(207 - 112 - 5)(207 - 112 + 5) = 90.100 = 9000
Câu 4: (4,0 điểm)
Hình vẽ

a) Chứng minh DEBF là hình bình hành:
Vì AB // CD → EB // DF
AB = CD → EB = DF
→ DEBF là hình bình hành.
b) AEFD là hình gì? Chứng minh?
Vì AB // CD → AE // DF
AB = CD → AE = DF
→ AEFD là hình bình hành. (1)
Mặt khác BC = AD = CD (gt) → AD = DF (2)
Từ (1) và (2) → AEFD là hình thoi.
c) Chứng minh EMFN là hình chữ nhật:
Vì DEBF là hình bình hành nên DE // BF và DE = BF
ME // NF và ME = NF → EMFN là hình bình hành.
Vì AEFD là hình thoi nên AFDE tại M → góc EMF = 900
Hình bình hành EMFN có 1 góc vuông nên là hình chữ nhật.
d) Tính SAFB:
EMFN là hình chữ nhật nên ΔAFB vuông tại F.
góc D = 600 nên ΔADF đều → AF = DF = 1/2 CD = 1/2 . 4 = 2 (cm)
Áp dụng định lí Pi – ta – go cho ΔAFB vuông tại F:
AB2 = AF2 + FB2 → FB2 = AB2 - AF2 = 42 - 22 = 12
→ FB = √12 (cm)
SAFB = 1/2 AF.FB = 1/2.2.√12 = √12 (cm2).