Bộ đề thi học kì 1 môn Toán lớp 8 năm học 2016 - 2017
Đề thi học kì 1 môn Toán lớp 8
Thông qua việc giải từng đề thi cụ thể trong Bộ đề thi học kì 1 môn Toán lớp 8 năm học 2016 - 2017 này sẽ giúp các bạn học sinh làm quen với cấu trúc đề thi, các dạng bài tập và nắm vững thêm các phần kiến thức đã được học. Chúng tôi hi vọng, bộ đề thi học kì 1 lớp 8 môn Toán này là tài liệu hữu ích dành cho các bạn. Chúc các bạn đạt được kết quả học tập cao!
Đề thi học kì 1 môn Vật lý lớp 8 năm học 2016 - 2017
Đề thi học kì 1 môn Vật lý lớp 8 trường THCS Kỳ Thượng, Quảng Ninh năm học 2016 - 2017
Đề cương ôn tập học kì 1 môn Vật lý lớp 8 năm học 2016 - 2017
Đề thi học kì 1 môn Vật lý lớp 8 Phòng GD&ĐT Tây Hòa, Phú Yên năm học 2015 - 2016
ĐỀ thi học kì 1 lớp 8 môn Toán SỐ 1
| PHÒNG GD&ĐT DIỄN CHÂU TRƯỜNG THCS DIỄN LÂM |
KIỂM TRA HỌC KÌ I NĂM HỌC 2016 - 2017 MÔN: TOÁN LỚP 8 Thời gian làm bài: 90 phút |
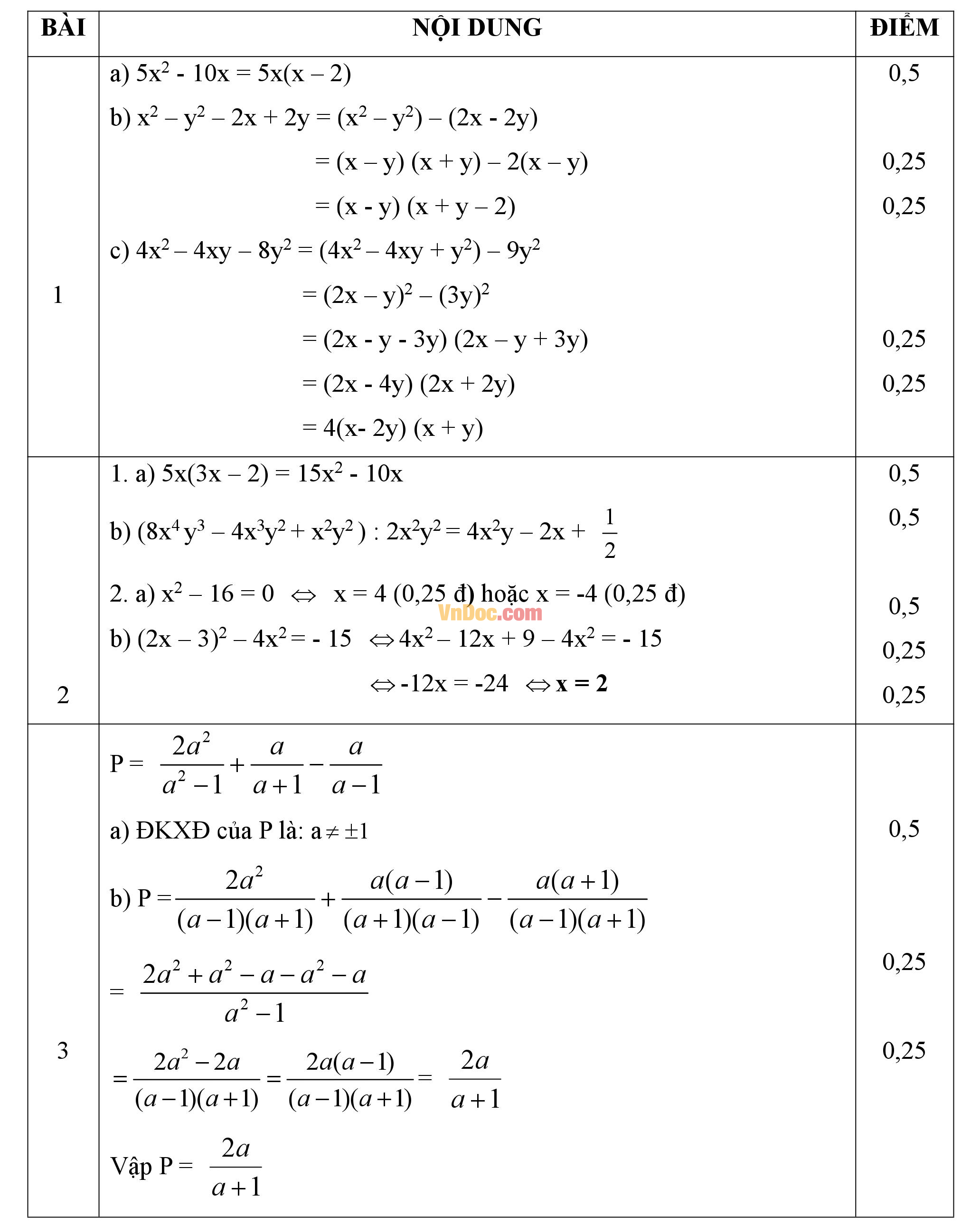
Bài 1. (1,5 điểm) Phân tích đa thức thành nhân tử:
a) 5x2 - 10x b) x2 – y2 – 2x + 2y c) 4x2 – 4xy – 8y2
Bài 2: (2,0 điểm)
1. Thực hiện phép tính:
a) 5x(3x – 2) b) (8x4y3 – 4x3y2 + x2y2) : 2x2y2
2. Tìm x biết
a) x2 – 16 = 0 b) (2x – 3)2 – 4x2 = - 15
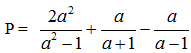
Bài 3: (2,5 điểm)
Cho biểu thức: 
a) Tìm a để biểu thức P có nghĩa.
b) Rút gọn P.
c) Tìm giá trị nguyên của a để P có giá trị nguyên
Bài 4. (3,0 điểm).
Cho hình chữ nhật ABCD. Gọi H là chân đường vuông góc kẻ từ A đến BD. Gọi M và N theo thứ tự là trung điểm của các đoạn AH và DH.
a) Chứng minh MN//AD.
b) Gọi I là trung điểm của cạnh BC. Chứng minh tứ giác BMNI là hình bình hành.
c) Chứng minh tam giác ANI vuông tại N.
Bài 5. (1,0 điểm)
Cho các số x, y thoả mãn đẳng thức 5x2 + 5y2 + 8xy - 2x + 2y + 2 = 0. Tính giá trị của biểu thức M = (x + y)2015 + (x - 2)2016 + (y + 1)2017
ĐÁP ÁN ĐỀ THI HỌC KÌ 1 MÔN TOÁN LỚP 8



ĐỀ thi học kì 1 lớp 8 môn Toán SỐ 2
| PHÒNG GD&ĐT VĨNH YÊN | KIỂM TRA HỌC KÌ I NĂM HỌC 2016 - 2017 MÔN: TOÁN LỚP 8 Thời gian làm bài: 90 phút |


ĐÁP ÁN ĐỀ THI HỌC KÌ 1 MÔN TOÁN LỚP 8
I. TRẮC NGHIỆM (3,0 điểm). Mỗi câu đúng được 0,5 điểm
|
Câu 1 |
Câu 2 |
Câu 3 |
Câu 4 |
Câu 5 |
Câu 6 |
|
D |
B |
C |
B |
C |
A |
II. TỰ LUẬN (7,0 điểm)



Ngoài đề thi học kì 1 lớp 8 môn Vật Lý này, các em học sinh còn có thể tham khảo các đề thi học kì 1 lớp 8 các môn Toán, Văn, Anh, Lý, Hóa, Sinh mà chúng tôi đã sưu tầm và chọn lọc. Những đề thi học kì 1 lớp 8 này được ra từ các trường THCS trên toàn quốc. Với việc ôn thi học kì 1 qua đề thi cũ, các em sẽ có thêm kiến thức và kinh nghiệm trước khi bước vào kì thi chính thức. Chúc các em học tốt.
Để không bị căng thẳng trong học tập, các bạn nên cân bằng giữa chơi và học để có tinh thần thoải mái nhất trước khi bước vào bài học tiếp theo. Mời các bạn cùng làm các bài trắc nghiệm online vui sau:
- Bạn lười yêu đến mức nào?
- Bạn sẽ là bạn gái tương lai của ai trong BTS
- Bạn có tính cách của loài mãnh thú nào?
- Bạn có nhận ra idol Kpop qua hình ảnh thời thơ ấu?
- Bạn có phải fan cứng của Thám tử lừng danh Conan?